Lev1: MIXED RARE EARTH CONCENTRATE//DEHEHP//SEC OCTYLPHENOXY ACETIC ACID - Basic statistics

Hierarchy of classes

The table shows classes above and classes immediately below the current class.
Level Class label P_total Tot. no. of
Swe. publ.
No. of Mine
and minerals
research
publ.
No. of
Swe. Mine
and minerals
research
publ.
Basic info - Whole publ. class Statistics per country Statistics per organization Swe. Org. statistics
4 CHEMISTRY, ORGANIC//CHEMISTRY, INORGANIC & NUCLEAR//CHEMISTRY, MULTIDISCIPLINARY 1337585 14320 5144 70 Basic info - Whole publ. class Country statistics Organization statistics Swe. Org. statistics
3             SOLVENT EXTRACTION AND ION EXCHANGE//SOLVENT EXTRACTION//SUPPORTED LIQUID MEMBRANE 9862 67 3742 55 Basic info - Whole publ. class Country statistics Organization statistics Swe. Org. statistics
2                         SOLVENT EXTRACTION AND ION EXCHANGE//SOLVENT EXTRACTION//SUPPORTED LIQUID MEMBRANE 8688 66 3742 55 Basic info - Whole publ. class Country statistics Organization statistics Swe. Org. statistics
1                                     MIXED RARE EARTH CONCENTRATE//DEHEHP//SEC OCTYLPHENOXY ACETIC ACID 700 3 700 3 Basic info - Whole publ. class Country statistics Organization statistics Swe. Org. statistics

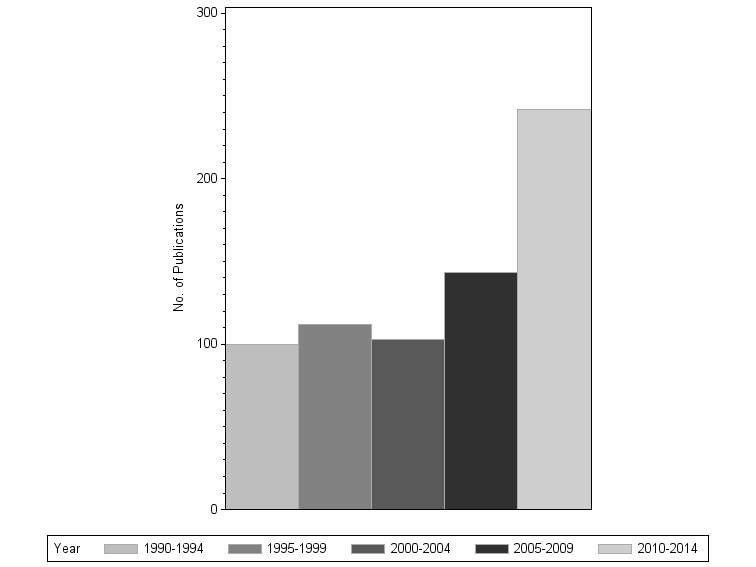
Publications per year within Mine and minerals research



1990-1994 1995-1999 2000-2004 2005-2009 2010-2014 All years
100 112 103 143 242 700



Bar chart of publication_year

Publications per year, all publications in class



1990-1994 1995-1999 2000-2004 2005-2009 2010-2014 All years
100 112 103 143 242 700



Bar chart of publication_year