Lev1: ORTHOENSTATITE//ORTHOPYROXENE//CLINOPYROXENE - Basic statistics

Hierarchy of classes

The table shows classes above and classes immediately below the current class.
Level Class label P_total Tot. no. of
Swe. publ.
No. of Mine
and minerals
research publ.
No. of Swe.
Mine and
minerals
research
publ.
Basic info - Whole publ. class Statistics per country Statistics per organization Swe. Org. statistics
4 PHYSICS, CONDENSED MATTER//PHYSICS, APPLIED//MATERIALS SCIENCE, MULTIDISCIPLINARY 1303122 18572 28124 532 Basic info - Whole publ. class Country statistics Organization statistics Swe. Org. statistics
3             MINERALOGY//PHYSICS AND CHEMISTRY OF MINERALS//AMERICAN MINERALOGIST 12000 258 8667 228 Basic info - Whole publ. class Country statistics Organization statistics Swe. Org. statistics
2                         MINERALOGY//AMERICAN MINERALOGIST//PHYSICS AND CHEMISTRY OF MINERALS 11349 254 8667 228 Basic info - Whole publ. class Country statistics Organization statistics Swe. Org. statistics
1                                     ORTHOENSTATITE//ORTHOPYROXENE//CLINOPYROXENE 448 8 448 8 Basic info - Whole publ. class Country statistics Organization statistics Swe. Org. statistics

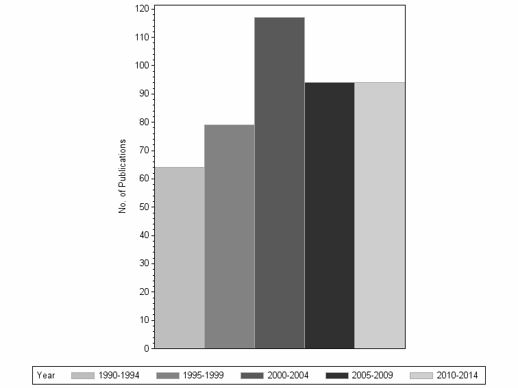
Publications per year within Mine and minerals research



1990-1994 1995-1999 2000-2004 2005-2009 2010-2014 All years
64 79 117 94 94 448



Bar chart of publication_year

Publications per year, all publications in class



1990-1994 1995-1999 2000-2004 2005-2009 2010-2014 All years
64 79 117 94 94 448



Bar chart of publication_year