Lev1: BIOLEACHING//THIOBACILLI//BIO ACIDIFICATION - Basic statistics

Hierarchy of classes

The table shows classes above and classes immediately below the current class.
Level Class label P_total Tot. no. of
Swe. publ.
No. of Mine
and minerals
research publ.
No. of Swe.
Mine and
minerals
research
publ.
Basic info - Whole publ. class Statistics per country Statistics per organization Swe. Org. statistics
4 PLANT SCIENCES//AGRONOMY//HORTICULTURE 1576817 27149 21836 489 Basic info - Whole publ. class Country statistics Organization statistics Swe. Org. statistics
3             WATER SCIENCE AND TECHNOLOGY//ANAEROBIC DIGESTION//ENGINEERING, ENVIRONMENTAL 54694 1192 1307 28 Basic info - Whole publ. class Country statistics Organization statistics Swe. Org. statistics
2                         BIOLEACHING//THIOBACILLI//BIO ACIDIFICATION 548 2 364 1 Basic info - Whole publ. class Country statistics Organization statistics Swe. Org. statistics
1                                     BIOLEACHING//THIOBACILLI//BIO ACIDIFICATION 364 1 364 1 Basic info - Whole publ. class Country statistics Organization statistics Swe. Org. statistics

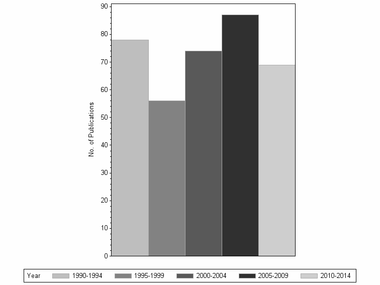
Publications per year within Mine and minerals research



1990-1994 1995-1999 2000-2004 2005-2009 2010-2014 All years
78 56 74 87 69 364



Bar chart of publication_year

Publications per year, all publications in class



1990-1994 1995-1999 2000-2004 2005-2009 2010-2014 All years
78 56 74 87 69 364



Bar chart of publication_year