Lev1: THEORY OF SAMPLING TOS//GYS SAMPLING THEORY//DG 12 - Basic statistics

Hierarchy of classes

The table shows classes above and classes immediately below the current class.
Level Class label P_total Tot. no. of
Swe. publ.
No. of Mine
and minerals
research publ.
No. of Swe.
Mine and
minerals
research
publ.
Basic info - Whole publ. class Statistics per country Statistics per organization Swe. Org. statistics
4 CHEMISTRY, ANALYTICAL//ENVIRONMENTAL SCIENCES//ATMOSPHERIC ENVIRONMENT 554315 13268 15961 336 Basic info - Whole publ. class Country statistics Organization statistics Swe. Org. statistics
3             JOURNAL OF ANALYTICAL ATOMIC SPECTROMETRY//SPECTROCHIMICA ACTA PART B-ATOMIC SPECTROSCOPY//ELECTROTHERMAL ATOMIC ABSORPTION SPECTROMETRY 38376 431 339 9 Basic info - Whole publ. class Country statistics Organization statistics Swe. Org. statistics
2                         ACCREDITATION AND QUALITY ASSURANCE//PROFICIENCY TESTING//MEASUREMENT UNCERTAINTY 3197 56 339 9 Basic info - Whole publ. class Country statistics Organization statistics Swe. Org. statistics
1                                     THEORY OF SAMPLING TOS//GYS SAMPLING THEORY//DG 12 339 9 339 9 Basic info - Whole publ. class Country statistics Organization statistics Swe. Org. statistics

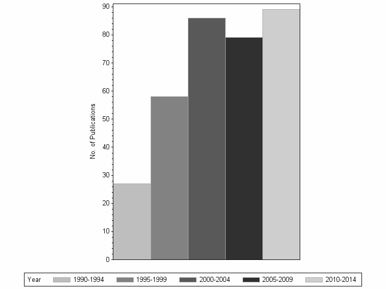
Publications per year within Mine and minerals research



1990-1994 1995-1999 2000-2004 2005-2009 2010-2014 All years
27 58 86 79 89 339



Bar chart of publication_year

Publications per year, all publications in class



1990-1994 1995-1999 2000-2004 2005-2009 2010-2014 All years
27 58 86 79 89 339



Bar chart of publication_year