Lev1: CLOSED LOOP CONTROL PERFORMANCE//INDUSTRIAL COKE FURNACE//NON MINIMAL STATE SPACE - Basic statistics

Hierarchy of classes

The table shows classes above and classes immediately below the current class.
Level Class label P_total Tot. no. of
Swe. publ.
No. of Mine
and minerals
research publ.
No. of Swe.
Mine and
minerals
research
publ.
Basic info - Whole publ. class Statistics per country Statistics per organization Swe. Org. statistics
4 METALLURGY & METALLURGICAL ENGINEERING//MATERIALS SCIENCE, MULTIDISCIPLINARY//ENGINEERING, MECHANICAL 726545 10290 19543 364 Basic info - Whole publ. class Country statistics Organization statistics Swe. Org. statistics
3             INTERNATIONAL JOURNAL OF IMPACT ENGINEERING//ENERGY ABSORPTION//CRASHWORTHINESS 19119 223 311 5 Basic info - Whole publ. class Country statistics Organization statistics Swe. Org. statistics
2                         CRASHWORTHINESS//AXIAL CRUSHING//ENERGY ABSORPTION 2402 35 311 5 Basic info - Whole publ. class Country statistics Organization statistics Swe. Org. statistics
1                                     CLOSED LOOP CONTROL PERFORMANCE//INDUSTRIAL COKE FURNACE//NON MINIMAL STATE SPACE 311 5 311 5 Basic info - Whole publ. class Country statistics Organization statistics Swe. Org. statistics

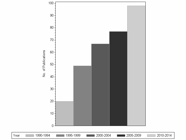
Publications per year within Mine and minerals research



1990-1994 1995-1999 2000-2004 2005-2009 2010-2014 All years
20 49 67 77 98 311



Bar chart of publication_year

Publications per year, all publications in class



1990-1994 1995-1999 2000-2004 2005-2009 2010-2014 All years
20 49 67 77 98 311



Bar chart of publication_year