Lev1: BANANA SCREEN//KNEADER MIXER//CRUSHING SCREENING GRP - Basic statistics

Hierarchy of classes

The table shows classes above and classes immediately below the current class.
Level Class label P_total Tot. no. of
Swe. publ.
No. of Mine
and minerals
research publ.
No. of Swe.
Mine and
minerals
research
publ.
Basic info - Whole publ. class Statistics per country Statistics per organization Swe. Org. statistics
4 POLYMER SCIENCE//ENGINEERING, CHEMICAL//CHEMISTRY, PHYSICAL 1528447 21980 35010 697 Basic info - Whole publ. class Country statistics Organization statistics Swe. Org. statistics
3             MINERALS ENGINEERING//INTERNATIONAL JOURNAL OF MINERAL PROCESSING//FLOTATION 16882 343 9022 256 Basic info - Whole publ. class Country statistics Organization statistics Swe. Org. statistics
2                         MINERALS ENGINEERING//INTERNATIONAL JOURNAL OF MINERAL PROCESSING//FROTH FLOTATION 8146 240 8146 240 Basic info - Whole publ. class Country statistics Organization statistics Swe. Org. statistics
1                                     BANANA SCREEN//KNEADER MIXER//CRUSHING SCREENING GRP 198 5 198 5 Basic info - Whole publ. class Country statistics Organization statistics Swe. Org. statistics

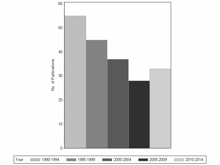
Publications per year within Mine and minerals research



1990-1994 1995-1999 2000-2004 2005-2009 2010-2014 All years
55 45 37 28 33 198



Bar chart of publication_year

Publications per year, all publications in class



1990-1994 1995-1999 2000-2004 2005-2009 2010-2014 All years
55 45 37 28 33 198



Bar chart of publication_year