Lev1: SCORODITE//YUKONITE//FERRIC ARSENATE - Basic statistics

Hierarchy of classes

The table shows classes above and classes immediately below the current class.
Level Class label P_total Tot. no. of
Swe. publ.
No. of Mine
and minerals
research publ.
No. of Swe.
Mine and
minerals
research
publ.
Basic info - Whole publ. class Statistics per country Statistics per organization Swe. Org. statistics
4 METALLURGY & METALLURGICAL ENGINEERING//MATERIALS SCIENCE, MULTIDISCIPLINARY//ENGINEERING, MECHANICAL 726545 10290 19543 364 Basic info - Whole publ. class Country statistics Organization statistics Swe. Org. statistics
3             HYDROMETALLURGY//ISIJ INTERNATIONAL//IRONMAKING & STEELMAKING 28806 900 14010 263 Basic info - Whole publ. class Country statistics Organization statistics Swe. Org. statistics
2                         HYDROMETALLURGY//BIOLEACHING//ACIDITHIOBACILLUS FERROOXIDANS 10590 141 10590 141 Basic info - Whole publ. class Country statistics Organization statistics Swe. Org. statistics
1                                     SCORODITE//YUKONITE//FERRIC ARSENATE 202 4 202 4 Basic info - Whole publ. class Country statistics Organization statistics Swe. Org. statistics

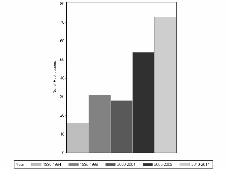
Publications per year within Mine and minerals research



1990-1994 1995-1999 2000-2004 2005-2009 2010-2014 All years
16 31 28 54 73 202



Bar chart of publication_year

Publications per year, all publications in class



1990-1994 1995-1999 2000-2004 2005-2009 2010-2014 All years
16 31 28 54 73 202



Bar chart of publication_year