Lev1: ROCK BOLT//GROUND ANCHORAGES//D BOLT - Basic statistics

Hierarchy of classes

The table shows classes above and classes immediately below the current class.
Level Class label P_total Tot. no. of
Swe. publ.
No. of Mine
and minerals
research publ.
No. of Swe.
Mine and
minerals
research
publ.
Basic info - Whole publ. class Statistics per country Statistics per organization Swe. Org. statistics
4 METALLURGY & METALLURGICAL ENGINEERING//MATERIALS SCIENCE, MULTIDISCIPLINARY//ENGINEERING, MECHANICAL 726545 10290 19543 364 Basic info - Whole publ. class Country statistics Organization statistics Swe. Org. statistics
3             INTERNATIONAL JOURNAL OF ROCK MECHANICS AND MINING SCIENCES//ENGINEERING, MANUFACTURING//INTERNATIONAL JOURNAL OF MACHINE TOOLS & MANUFACTURE 32226 454 3016 66 Basic info - Whole publ. class Country statistics Organization statistics Swe. Org. statistics
2                         INTERNATIONAL JOURNAL OF ROCK MECHANICS AND MINING SCIENCES//ROCK MECHANICS AND ROCK ENGINEERING//ENGINEERING, GEOLOGICAL 12771 235 2548 41 Basic info - Whole publ. class Country statistics Organization statistics Swe. Org. statistics
1                                     ROCK BOLT//GROUND ANCHORAGES//D BOLT 216 3 216 3 Basic info - Whole publ. class Country statistics Organization statistics Swe. Org. statistics

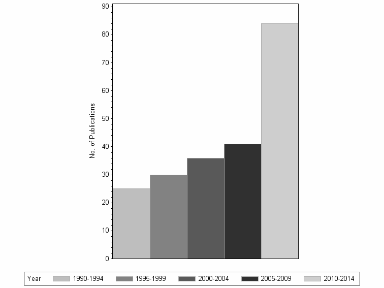
Publications per year within Mine and minerals research



1990-1994 1995-1999 2000-2004 2005-2009 2010-2014 All years
25 30 36 41 84 216



Bar chart of publication_year

Publications per year, all publications in class



1990-1994 1995-1999 2000-2004 2005-2009 2010-2014 All years
25 30 36 41 84 216



Bar chart of publication_year