Lev1: SURFACE COMPLEXATION//THEORET PROBLEMS ADSORPT//SURFACE COMPLEXATION MODEL - Basic statistics

Hierarchy of classes

The table shows classes above and classes immediately below the current class.
Level Class label P_total Tot. no. of
Swe. publ.
No. of Mine
and minerals
research publ.
No. of Swe.
Mine and
minerals
research
publ.
Basic info - Whole publ. class Statistics per country Statistics per organization Swe. Org. statistics
4 POLYMER SCIENCE//ENGINEERING, CHEMICAL//CHEMISTRY, PHYSICAL 1528447 21980 35010 697 Basic info - Whole publ. class Country statistics Organization statistics Swe. Org. statistics
3             BIOSORPTION//MICROBIAL FUEL CELL//ADSORPTION 62734 572 18924 282 Basic info - Whole publ. class Country statistics Organization statistics Swe. Org. statistics
2                         ANALYT POLYMER//SURFACE COMPLEXATION//NOVEL THIN FILM SOLAR CELLS 5752 211 1797 135 Basic info - Whole publ. class Country statistics Organization statistics Swe. Org. statistics
1                                     SURFACE COMPLEXATION//THEORET PROBLEMS ADSORPT//SURFACE COMPLEXATION MODEL 1797 135 1797 135 Basic info - Whole publ. class Country statistics Organization statistics Swe. Org. statistics

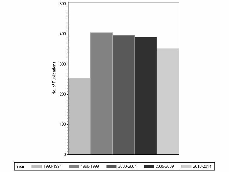
Publications per year within Mine and minerals research



1990-1994 1995-1999 2000-2004 2005-2009 2010-2014 All years
254 405 396 390 352 1797



Bar chart of publication_year

Publications per year, all publications in class



1990-1994 1995-1999 2000-2004 2005-2009 2010-2014 All years
254 405 396 390 352 1797



Bar chart of publication_year