Lev1: GUADIAMAR//GUADIAMAR RIVER//AZNALCOLLAR - Basic statistics

Hierarchy of classes

The table shows classes above and classes immediately below the current class.
Level Class label P_total Tot. no. of
Swe. publ.
No. of Mine
and minerals
research publ.
No. of Swe.
Mine and
minerals
research
publ.
Basic info - Whole publ. class Statistics per country Statistics per organization Swe. Org. statistics
4 PLANT SCIENCES//AGRONOMY//HORTICULTURE 1576817 27149 21836 489 Basic info - Whole publ. class Country statistics Organization statistics Swe. Org. statistics
3             HEAVY METALS//CADMIUM//ENVIRONMENTAL TOXICOLOGY AND CHEMISTRY 59404 1019 15024 330 Basic info - Whole publ. class Country statistics Organization statistics Swe. Org. statistics
2                         ACID MINE DRAINAGE//ACID SULFATE SOIL//ACID SULFATE SOILS 2732 133 2732 133 Basic info - Whole publ. class Country statistics Organization statistics Swe. Org. statistics
1                                     GUADIAMAR//GUADIAMAR RIVER//AZNALCOLLAR 141 2 141 2 Basic info - Whole publ. class Country statistics Organization statistics Swe. Org. statistics

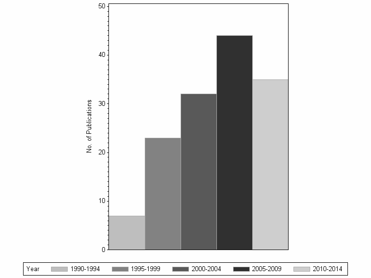
Publications per year within Mine and minerals research



1990-1994 1995-1999 2000-2004 2005-2009 2010-2014 All years
7 23 32 44 35 141



Bar chart of publication_year

Publications per year, all publications in class



1990-1994 1995-1999 2000-2004 2005-2009 2010-2014 All years
7 23 32 44 35 141



Bar chart of publication_year