Lev1: STRONTIUM CARBONATE//INTERFACE COUPLED DISSOLUTION REPRECIPITATION//VIOLARITE - Basic statistics

Hierarchy of classes

The table shows classes above and classes immediately below the current class.
Level Class label P_total Tot. no. of
Swe. publ.
No. of Mine
and minerals
research publ.
No. of Swe.
Mine and
minerals
research
publ.
Basic info - Whole publ. class Statistics per country Statistics per organization Swe. Org. statistics
4 POLYMER SCIENCE//ENGINEERING, CHEMICAL//CHEMISTRY, PHYSICAL 1528447 21980 35010 697 Basic info - Whole publ. class Country statistics Organization statistics Swe. Org. statistics
3             JOURNAL OF SUPERCRITICAL FLUIDS//SUPERCRITICAL CARBON DIOXIDE//SUPERCRITICAL FLUID EXTRACTION 14644 177 143 1 Basic info - Whole publ. class Country statistics Organization statistics Swe. Org. statistics
2                         PHONON HOLE BURNING//PIEZOELECTRIC POWDER//CONTINUOUS HYDROTHERMAL FLOW SYNTHESIS 683 6 143 1 Basic info - Whole publ. class Country statistics Organization statistics Swe. Org. statistics
1                                     STRONTIUM CARBONATE//INTERFACE COUPLED DISSOLUTION REPRECIPITATION//VIOLARITE 143 1 143 1 Basic info - Whole publ. class Country statistics Organization statistics Swe. Org. statistics

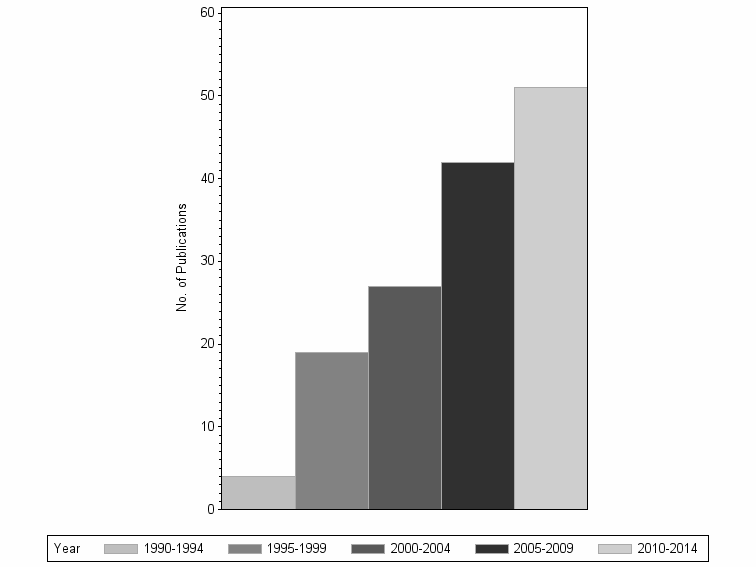
Publications per year within Mine and minerals research



1990-1994 1995-1999 2000-2004 2005-2009 2010-2014 All years
4 19 27 42 51 143



Bar chart of publication_year

Publications per year, all publications in class



1990-1994 1995-1999 2000-2004 2005-2009 2010-2014 All years
4 19 27 42 51 143



Bar chart of publication_year