Lev1: BIAS TESTING//MIN GEOL GRP//EXPLORATION AND MINING GEOLOGY - Basic statistics

Hierarchy of classes

The table shows classes above and classes immediately below the current class.
Level Class label P_total Tot. no. of
Swe. publ.
No. of Mine
and minerals
research
publ.
No. of Swe.
Mine and
minerals
research
publ.
Basic info - Whole publ. class Statistics per country Statistics per organization Swe. Org. statistics
4 ECONOMICS//OPERATIONS RESEARCH & MANAGEMENT SCIENCE//BUSINESS 914642 15823 5321 149 Basic info - Whole publ. class Country statistics Organization statistics Swe. Org. statistics
3             INTERNATIONAL JOURNAL OF GEOGRAPHICAL INFORMATION SCIENCE//IEEE TRANSACTIONS ON VISUALIZATION AND COMPUTER GRAPHICS//CARTOGRAPHIC JOURNAL 15440 137 397 4 Basic info - Whole publ. class Country statistics Organization statistics Swe. Org. statistics
2                         MATHEMATICAL GEOLOGY//MULTIPLE POINT STATISTICS//TRAINING IMAGE 3059 30 397 4 Basic info - Whole publ. class Country statistics Organization statistics Swe. Org. statistics
1                                     BIAS TESTING//MIN GEOL GRP//EXPLORATION AND MINING GEOLOGY 100 . 100 . Basic info - Whole publ. class Country statistics Organization statistics No Swe. publ.

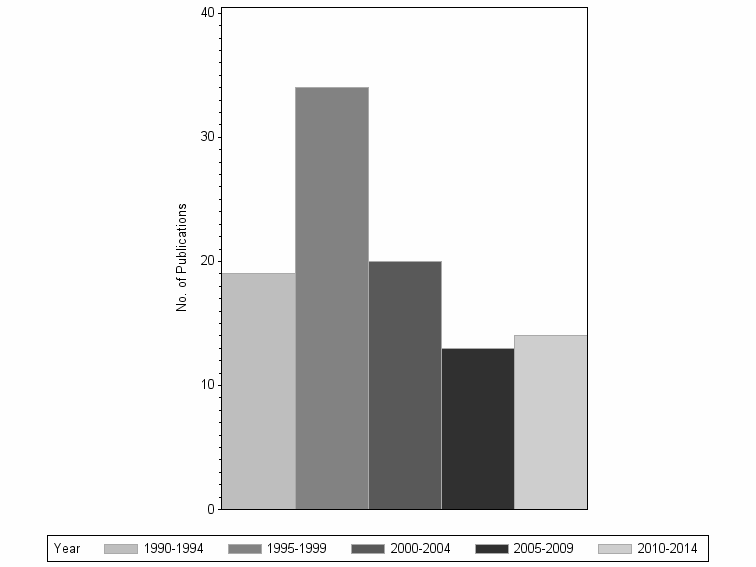
Publications per year within Mine and minerals research



1990-1994 1995-1999 2000-2004 2005-2009 2010-2014 All years
19 34 20 13 14 100



Bar chart of publication_year

Publications per year, all publications in class



1990-1994 1995-1999 2000-2004 2005-2009 2010-2014 All years
19 34 20 13 14 100



Bar chart of publication_year