Lev1: INCO LIMITED//REMOTE MINING TECHNOLOGY//SOLUTIONS OF ACRYLIC ACID - Basic statistics

Hierarchy of classes

The table shows classes above and classes immediately below the current class.
Level Class label P_total Tot. no.
of Swe. publ.
No. of
Mine and
minerals
research
publ.
No. of
Swe. Mine
and minerals
research
publ.
Basic info - Whole publ. class Statistics per country Statistics per organization Swe. Org. statistics
4 MATHEMATICS//MATHEMATICS, APPLIED//MATH 806969 8666 75 . Basic info - Whole publ. class Country statistics Organization statistics No Swe. publ.
3             ORTHOGONAL POLYNOMIALS//JOURNAL OF APPROXIMATION THEORY//INTEGRAL TRANSFORMS AND SPECIAL FUNCTIONS 14590 204 75 . Basic info - Whole publ. class Country statistics Organization statistics No Swe. publ.
2                         ELLIPTIC TYPE INTEGRALS//KEPLERS EQUATION//UNITE PHYS DISPOSITIFS SEMICOND 730 3 75 . Basic info - Whole publ. class Country statistics Organization statistics No Swe. publ.
1                                     INCO LIMITED//REMOTE MINING TECHNOLOGY//SOLUTIONS OF ACRYLIC ACID 75 . 75 . Basic info - Whole publ. class Country statistics Organization statistics No Swe. publ.

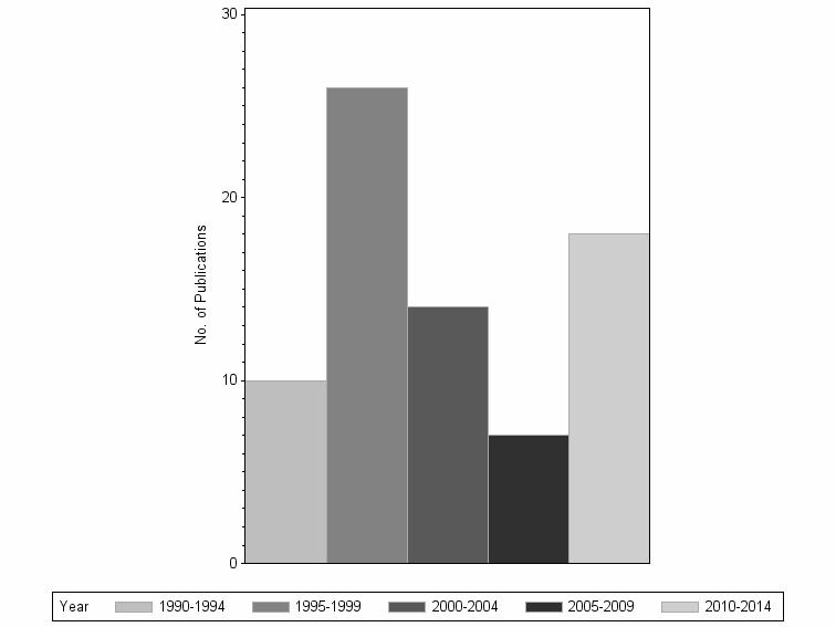
Publications per year within Mine and minerals research



1990-1994 1995-1999 2000-2004 2005-2009 2010-2014 All years
10 26 14 7 18 75



Bar chart of publication_year

Publications per year, all publications in class



1990-1994 1995-1999 2000-2004 2005-2009 2010-2014 All years
10 26 14 7 18 75



Bar chart of publication_year