Lev1: GRANITIC PEGMATITES//PEGMATITE//COLUMBITE GROUP MINERALS - Basic statistics

Hierarchy of classes

The table shows classes above and classes immediately below the current class.
Level Class label P_total Tot. no. of
Swe. publ.
No. of Mine
and minerals
research publ.
No. of Swe.
Mine and
minerals
research
publ.
Basic info - Whole publ. class Statistics per country Statistics per organization Swe. Org. statistics
4 GEOCHEMISTRY & GEOPHYSICS//GEOSCIENCES, MULTIDISCIPLINARY//METEOROLOGY & ATMOSPHERIC SCIENCES 745764 13262 94352 1481 Basic info - Whole publ. class Country statistics Organization statistics Swe. Org. statistics
3             GEOCHEMISTRY & GEOPHYSICS//GEOSCIENCES, MULTIDISCIPLINARY//GEOLOGY 176805 1962 79028 1132 Basic info - Whole publ. class Country statistics Organization statistics Swe. Org. statistics
2                         PRECAMBRIAN RESEARCH//JOURNAL OF METAMORPHIC GEOLOGY//MINERALOGY 28756 787 26356 761 Basic info - Whole publ. class Country statistics Organization statistics Swe. Org. statistics
1                                     GRANITIC PEGMATITES//PEGMATITE//COLUMBITE GROUP MINERALS 1151 14 1151 14 Basic info - Whole publ. class Country statistics Organization statistics Swe. Org. statistics

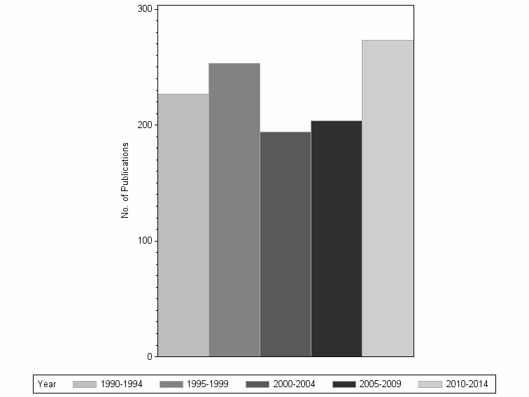
Publications per year within Mine and minerals research



1990-1994 1995-1999 2000-2004 2005-2009 2010-2014 All years
227 253 194 204 273 1151



Bar chart of publication_year

Publications per year, all publications in class



1990-1994 1995-1999 2000-2004 2005-2009 2010-2014 All years
227 253 194 204 273 1151



Bar chart of publication_year