Lev1: FERRIHYDRITE//GOETHITE//FEROXYHYTE - Basic statistics

Hierarchy of classes

The table shows classes above and classes immediately below the current class.
Level Class label P_total Tot. no. of
Swe. publ.
No. of Mine
and minerals
research publ.
No. of Swe.
Mine and
minerals
research
publ.
Basic info - Whole publ. class Statistics per country Statistics per organization Swe. Org. statistics
4 PHYSICS, CONDENSED MATTER//PHYSICS, APPLIED//MATERIALS SCIENCE, MULTIDISCIPLINARY 1303122 18572 28124 532 Basic info - Whole publ. class Country statistics Organization statistics Swe. Org. statistics
3             FERRITES//HEXAFERRITES//BARIUM FERRITE 17444 179 5662 39 Basic info - Whole publ. class Country statistics Organization statistics Swe. Org. statistics
2                         FERRITES//HEXAFERRITES//BARIUM FERRITE 16149 178 5662 39 Basic info - Whole publ. class Country statistics Organization statistics Swe. Org. statistics
1                                     FERRIHYDRITE//GOETHITE//FEROXYHYTE 1128 12 1128 12 Basic info - Whole publ. class Country statistics Organization statistics Swe. Org. statistics

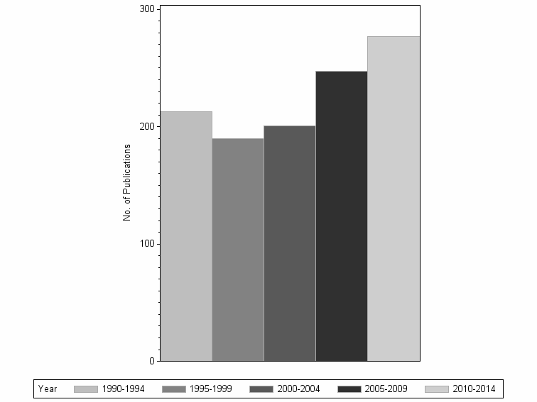
Publications per year within Mine and minerals research



1990-1994 1995-1999 2000-2004 2005-2009 2010-2014 All years
213 190 201 247 277 1128



Bar chart of publication_year

Publications per year, all publications in class



1990-1994 1995-1999 2000-2004 2005-2009 2010-2014 All years
213 190 201 247 277 1128



Bar chart of publication_year