Lev1: GROSS ALPHA//ALPHA LIQUID SCINTILLATION//GROSS BETA - Basic statistics

Hierarchy of classes

The table shows classes above and classes immediately below the current class.
Level Class label P_total Tot. no. of
Swe. publ.
No. of Mine
and minerals
research publ.
No. of Swe.
Mine and
minerals
research
publ.
Basic info - Whole publ. class Statistics per country Statistics per organization Swe. Org. statistics
4 CHEMISTRY, ANALYTICAL//ENVIRONMENTAL SCIENCES//ATMOSPHERIC ENVIRONMENT 554315 13268 15961 336 Basic info - Whole publ. class Country statistics Organization statistics Swe. Org. statistics
3             JOURNAL OF ENVIRONMENTAL RADIOACTIVITY//HEALTH PHYSICS//RADON 33916 947 4449 44 Basic info - Whole publ. class Country statistics Organization statistics Swe. Org. statistics
2                         RADON//NATURAL RADIOACTIVITY//INDOOR RADON 11564 184 3997 38 Basic info - Whole publ. class Country statistics Organization statistics Swe. Org. statistics
1                                     GROSS ALPHA//ALPHA LIQUID SCINTILLATION//GROSS BETA 1013 9 1013 9 Basic info - Whole publ. class Country statistics Organization statistics Swe. Org. statistics

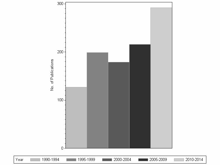
Publications per year within Mine and minerals research



1990-1994 1995-1999 2000-2004 2005-2009 2010-2014 All years
127 199 179 216 292 1013



Bar chart of publication_year

Publications per year, all publications in class



1990-1994 1995-1999 2000-2004 2005-2009 2010-2014 All years
127 199 179 216 292 1013



Bar chart of publication_year