Lev2: NASICON//ETS 10//ETS 4 - Basic statistics

Hierarchy of classes

The table shows classes above and classes immediately below the current class.
Level Class label P_total Tot. no. of
Swe. publ.
No. of Mine
and minerals
research publ.
No. of Swe.
Mine and
minerals
research
publ.
Basic info - Whole publ. class Statistics per country Statistics per organization Swe. Org. statistics
4 PHYSICS, CONDENSED MATTER//PHYSICS, APPLIED//MATERIALS SCIENCE, MULTIDISCIPLINARY 1303122 18572 28124 532 Basic info - Whole publ. class Country statistics Organization statistics Swe. Org. statistics
3             POLYOXOMETALATES//POLYOXOMETALATE//POLYOXOMETALATE SCI 30944 298 3927 46 Basic info - Whole publ. class Country statistics Organization statistics Swe. Org. statistics
2                         NASICON//ETS 10//ETS 4 3024 16 1450 10 Basic info - Whole publ. class Country statistics Organization statistics Swe. Org. statistics
1                                     ETS 10//ETS 4//TITANOSILICATE 836 6 836 6 Basic info - Whole publ. class Country statistics Organization statistics Swe. Org. statistics
1                                     TS BLOCK//EUDIALYTE//AGPAITIC 614 4 614 4 Basic info - Whole publ. class Country statistics Organization statistics Swe. Org. statistics

Publications per year within Mine and minerals research



1990-1994 1995-1999 2000-2004 2005-2009 2010-2014 All years
160 234 348 364 344 1450



Bar chart of publication_year

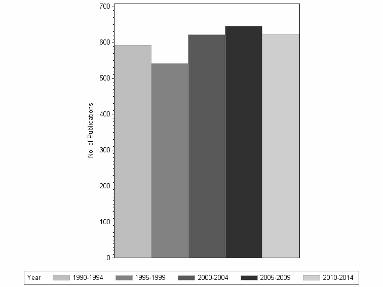
Publications per year, all publications in class



1990-1994 1995-1999 2000-2004 2005-2009 2010-2014 All years
592 542 622 646 622 3024



Bar chart of publication_year