Lev2: HYDROFORMYLATION//HYDROAMINOMETHYLATION//AQUEOUS BIPHASIC CATALYSIS - Basic statistics

Hierarchy of classes

The table shows classes above and classes immediately below the current class.
Level Class label P_total Tot. no. of
Swe. publ.
No. of Mine
and minerals
research
publ.
No. of
Swe. Mine
and minerals
research
publ.
Basic info - Whole publ. class Statistics per country Statistics per organization Swe. Org. statistics
4 CHEMISTRY, ORGANIC//CHEMISTRY, INORGANIC & NUCLEAR//CHEMISTRY, MULTIDISCIPLINARY 1337585 14320 5144 70 Basic info - Whole publ. class Country statistics Organization statistics Swe. Org. statistics
3             ORGANOMETALLICS//JOURNAL OF ORGANOMETALLIC CHEMISTRY//CHEMISTRY, INORGANIC & NUCLEAR 87471 742 1115 10 Basic info - Whole publ. class Country statistics Organization statistics Swe. Org. statistics
2                         HYDROFORMYLATION//HYDROAMINOMETHYLATION//AQUEOUS BIPHASIC CATALYSIS 2750 14 1115 10 Basic info - Whole publ. class Country statistics Organization statistics Swe. Org. statistics
1                                     HYDROFORMYLATION//WATER SOLUBLE PHOSPHINES//AQUEOUS BIPHASIC CATALYSIS 1115 10 1115 10 Basic info - Whole publ. class Country statistics Organization statistics Swe. Org. statistics

Publications per year within Mine and minerals research



1990-1994 1995-1999 2000-2004 2005-2009 2010-2014 All years
124 279 291 247 174 1115



Bar chart of publication_year

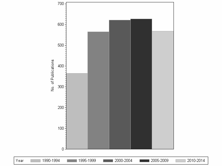
Publications per year, all publications in class



1990-1994 1995-1999 2000-2004 2005-2009 2010-2014 All years
366 566 622 627 569 2750



Bar chart of publication_year