Lev2: POLYMERCURAMACROCYCLES//ANTICROWNS//SAN BENITO COUNTY - Basic statistics

Hierarchy of classes

The table shows classes above and classes immediately below the current class.
Level Class label P_total Tot. no. of
Swe. publ.
No. of Mine
and minerals
research
publ.
No. of
Swe. Mine
and minerals
research
publ.
Basic info - Whole publ. class Statistics per country Statistics per organization Swe. Org. statistics
4 CHEMISTRY, ORGANIC//CHEMISTRY, INORGANIC & NUCLEAR//CHEMISTRY, MULTIDISCIPLINARY 1337585 14320 5144 70 Basic info - Whole publ. class Country statistics Organization statistics Swe. Org. statistics
3             ORGANOMETALLICS//JOURNAL OF ORGANOMETALLIC CHEMISTRY//ETHYLENE POLYMERIZATION 52055 277 287 5 Basic info - Whole publ. class Country statistics Organization statistics Swe. Org. statistics
2                         POLYMERCURAMACROCYCLES//ANTICROWNS//SAN BENITO COUNTY 1209 10 287 5 Basic info - Whole publ. class Country statistics Organization statistics Swe. Org. statistics
1                                     SAN BENITO COUNTY//CLEAR CREEK MINE//MERCURY MINERALS 287 5 287 5 Basic info - Whole publ. class Country statistics Organization statistics Swe. Org. statistics

Publications per year within Mine and minerals research



1990-1994 1995-1999 2000-2004 2005-2009 2010-2014 All years
43 62 100 53 29 287



Bar chart of publication_year

Publications per year, all publications in class



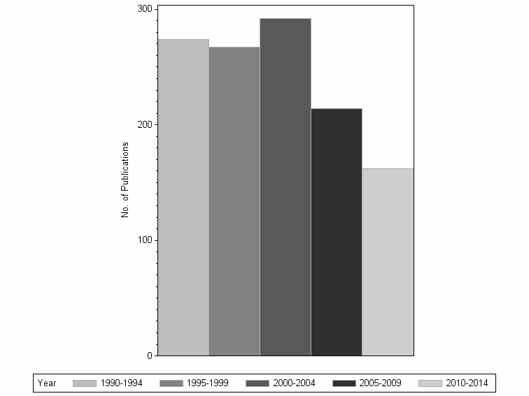
1990-1994 1995-1999 2000-2004 2005-2009 2010-2014 All years
274 267 292 214 162 1209



Bar chart of publication_year