Lev2: NTC THERMISTOR//NICKEL MANGANITE//NTC THERMISTORS - Basic statistics

Hierarchy of classes

The table shows classes above and classes immediately below the current class.
Level Class label P_total Tot. no. of
Swe. publ.
No. of Mine
and minerals
research publ.
No. of Swe.
Mine and
minerals
research
publ.
Basic info - Whole publ. class Statistics per country Statistics per organization Swe. Org. statistics
4 PHYSICS, CONDENSED MATTER//PHYSICS, APPLIED//MATERIALS SCIENCE, MULTIDISCIPLINARY 1303122 18572 28124 532 Basic info - Whole publ. class Country statistics Organization statistics Swe. Org. statistics
3             SOLID OXIDE FUEL CELLS//SOFC//SOLID STATE IONICS 65135 808 547 5 Basic info - Whole publ. class Country statistics Organization statistics Swe. Org. statistics
2                         NTC THERMISTOR//NICKEL MANGANITE//NTC THERMISTORS 843 14 547 5 Basic info - Whole publ. class Country statistics Organization statistics Swe. Org. statistics
1                                     NTC THERMISTOR//NICKEL MANGANITE//NTC THERMISTORS 547 5 547 5 Basic info - Whole publ. class Country statistics Organization statistics Swe. Org. statistics

Publications per year within Mine and minerals research



1990-1994 1995-1999 2000-2004 2005-2009 2010-2014 All years
64 63 99 148 173 547



Bar chart of publication_year

Publications per year, all publications in class



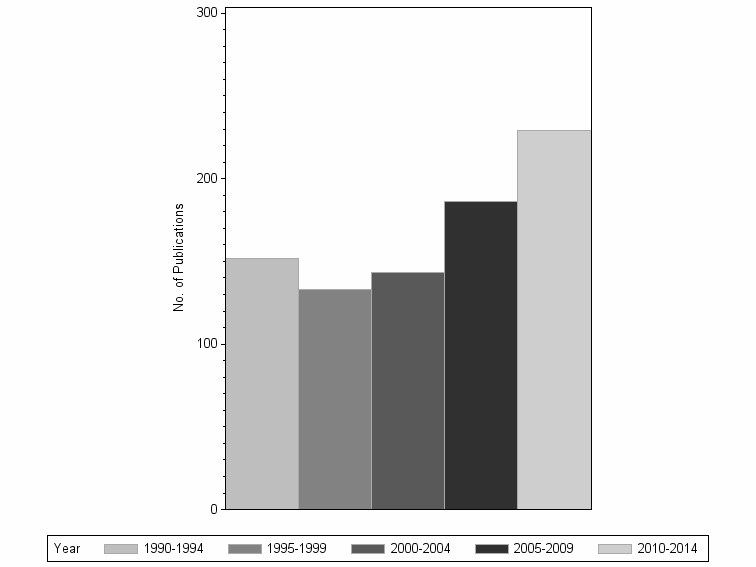
1990-1994 1995-1999 2000-2004 2005-2009 2010-2014 All years
152 133 143 186 229 843



Bar chart of publication_year