Lev2: MANTLE CONVECTION//JOURNAL OF GEOPHYSICAL RESEARCH-SOLID EARTH//GEOPHYSICAL JOURNAL INTERNATIONAL - Basic statistics

Hierarchy of classes

The table shows classes above and classes immediately below the current class.
Level Class label P_total Tot. no. of
Swe. publ.
No. of Mine
and minerals
research publ.
No. of Swe.
Mine and
minerals
research
publ.
Basic info - Whole publ. class Statistics per country Statistics per organization Swe. Org. statistics
4 GEOCHEMISTRY & GEOPHYSICS//GEOSCIENCES, MULTIDISCIPLINARY//METEOROLOGY & ATMOSPHERIC SCIENCES 745764 13262 94352 1481 Basic info - Whole publ. class Country statistics Organization statistics Swe. Org. statistics
3             GEOCHEMISTRY & GEOPHYSICS//GEOSCIENCES, MULTIDISCIPLINARY//GEOLOGY 176805 1962 79028 1132 Basic info - Whole publ. class Country statistics Organization statistics Swe. Org. statistics
2                         MANTLE CONVECTION//JOURNAL OF GEOPHYSICAL RESEARCH-SOLID EARTH//GEOPHYSICAL JOURNAL INTERNATIONAL 11386 80 7083 32 Basic info - Whole publ. class Country statistics Organization statistics Swe. Org. statistics
1                                     MANTLE CONVECTION//CORE MANTLE BOUNDARY//THERMOCHEMICAL CONVECTION 2674 10 2674 10 Basic info - Whole publ. class Country statistics Organization statistics Swe. Org. statistics
1                                     SEISMIC ANISOTROPY//SHEAR WAVE SPLITTING//UPPER MANTLE 2588 16 2588 16 Basic info - Whole publ. class Country statistics Organization statistics Swe. Org. statistics
1                                     MID OCEAN RIDGES//OCEANIC CORE COMPLEX//MID OCEAN RIDGE 1821 6 1821 6 Basic info - Whole publ. class Country statistics Organization statistics Swe. Org. statistics

Publications per year within Mine and minerals research



1990-1994 1995-1999 2000-2004 2005-2009 2010-2014 All years
1151 1355 1341 1531 1705 7083



Bar chart of publication_year

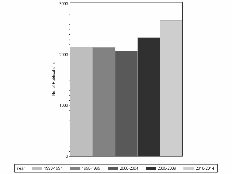
Publications per year, all publications in class



1990-1994 1995-1999 2000-2004 2005-2009 2010-2014 All years
2152 2144 2074 2337 2679 11386



Bar chart of publication_year