Lev3: THROUGHFALL//WATER AIR AND SOIL POLLUTION//STEMFLOW - Basic statistics

Hierarchy of classes

The table shows classes above and classes immediately below the current class.
Level Class label P_total Tot. no. of
Swe. publ.
No. of Mine
and minerals
research publ.
No. of Swe.
Mine and
minerals
research
publ.
Basic info - Whole publ. class Statistics per country Statistics per organization Swe. Org. statistics
4 PLANT SCIENCES//AGRONOMY//HORTICULTURE 1576817 27149 21836 489 Basic info - Whole publ. class Country statistics Organization statistics Swe. Org. statistics
3             THROUGHFALL//WATER AIR AND SOIL POLLUTION//STEMFLOW 18970 927 2006 101 Basic info - Whole publ. class Country statistics Organization statistics Swe. Org. statistics
2                         AOT40//ENVIRONMENTAL POLLUTION//OZONE 10216 469 1354 83 Basic info - Whole publ. class Country statistics Organization statistics Swe. Org. statistics
2                         THROUGHFALL//STEMFLOW//ACIDIFICATION 6418 418 652 18 Basic info - Whole publ. class Country statistics Organization statistics Swe. Org. statistics

Publications per year within Mine and minerals research



1990-1994 1995-1999 2000-2004 2005-2009 2010-2014 All years
201 331 455 500 519 2006



Bar chart of publication_year

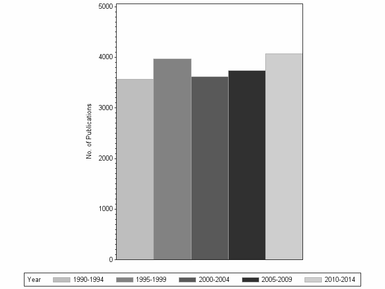
Publications per year, all publications in class



1990-1994 1995-1999 2000-2004 2005-2009 2010-2014 All years
3570 3971 3618 3741 4070 18970



Bar chart of publication_year