Lev1: ETS 10//ETS 4//TITANOSILICATE - Statistics for Organizations

Statistics per Organization

Number of publications, full counts

Obs Organization 1990-1994 1995-1999 2000-2004 2005-2009 2010-2014 All years
1 Sweden-Lund University 2 1 . . . 3
2 Sweden-Stockholm University . . 2 . 1 3

Number of publications, full counts



Bar chart of publication_year

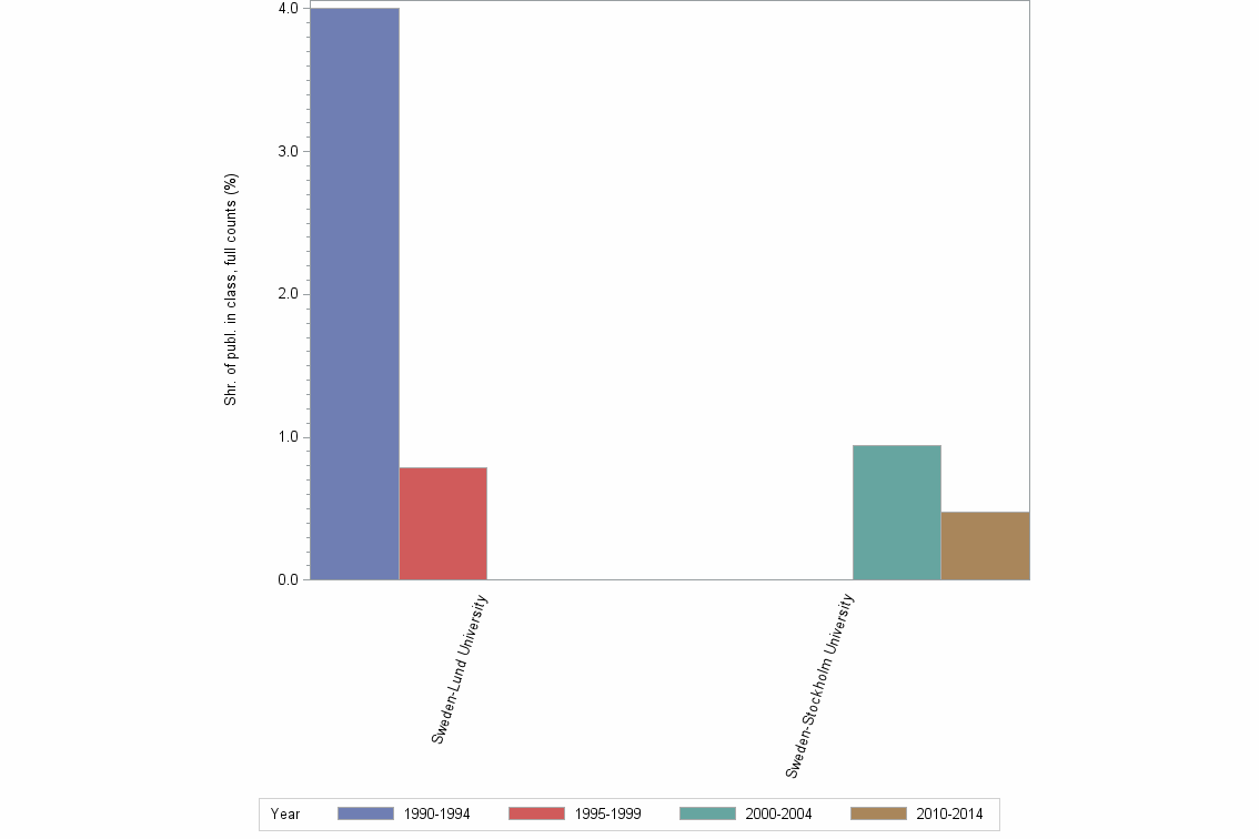
Share of the total number of publications in the field, full counts (%)

Obs Organization 1990-1994 1995-1999 2000-2004 2005-2009 2010-2014 All years
1 Sweden-Lund University 4.0 0.8 . . . 0.4
2 Sweden-Stockholm University . . 0.9 . 0.5 0.4

Share of the total number of publications in the field, full counts (%)



Bar chart of publication_year

Number of publications among 10% most cited in field, full counts

Obs Organization 1990-1994 1995-1999 2000-2004 2005-2009 2010-2014 All years
1 Sweden-Lund University 1.0 1.0 . . . 2.0
2 Sweden-Stockholm University . . 0.0 . 0.0 0.0

Number of publications among 10% most cited in field, full counts



Bar chart of publication_year

Share of publications among 10% most cited in field, fractionalized (%)

Obs Organization 1990-1994 1995-1999 2000-2004 2005-2009 2010-2014 All years
1 Sweden-Lund University 44.4 100.0 . . . 61.5
2 Sweden-Stockholm University . . 0.0 . 0.0 0.0

Share of publications among 10% most cited in field, fractionalized (%)



Bar chart of publication_year

Field normalized citation rate (cf), fractionalized

Obs Organization 1990-1994 1995-1999 2000-2004 2005-2009 2010-2014 All years
1 Sweden-Lund University 8.40 10.70 . . . 9.10
2 Sweden-Stockholm University . . 0.75 . 0.29 0.60

Field normalized citation rate (cf), fractionalized



Bar chart of publication_year