Lev1: ANTI ATLAS//HIGH ATLAS//JEBILET - Statistics for Organizations

Statistics per Organization

Number of publications, full counts

Obs Organization 1990-1994 1995-1999 2000-2004 2005-2009 2010-2014 All years
1 Sweden-Lund University . . . . 4 4
2 Sweden-Swedish Museum of Natural History . . . . 4 4

Number of publications, full counts



Bar chart of publication_year

Share of the total number of publications in the field, full counts (%)

Obs Organization 1990-1994 1995-1999 2000-2004 2005-2009 2010-2014 All years
1 Sweden-Lund University . . . . 3.5 0.7
2 Sweden-Swedish Museum of Natural History . . . . 3.5 0.7

Share of the total number of publications in the field, full counts (%)



Bar chart of publication_year

Number of publications among 10% most cited in field, full counts

Obs Organization 1990-1994 1995-1999 2000-2004 2005-2009 2010-2014 All years
1 Sweden-Lund University . . . . 0.5 0.5
2 Sweden-Swedish Museum of Natural History . . . . 0.5 0.5

Number of publications among 10% most cited in field, full counts



Bar chart of publication_year

Share of publications among 10% most cited in field, fractionalized (%)

Obs Organization 1990-1994 1995-1999 2000-2004 2005-2009 2010-2014 All years
1 Sweden-Lund University . . . . 11.8 11.8
2 Sweden-Swedish Museum of Natural History . . . . 11.8 11.8

Share of publications among 10% most cited in field, fractionalized (%)



Bar chart of publication_year

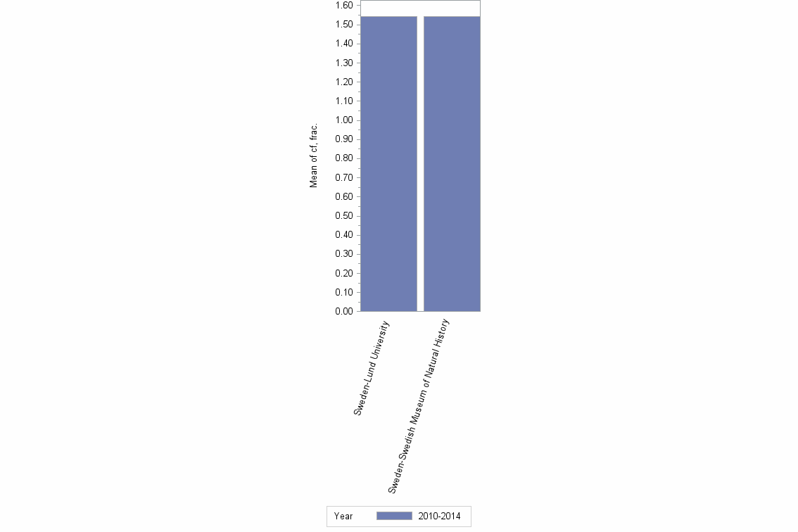
Field normalized citation rate (cf), fractionalized

Obs Organization 1990-1994 1995-1999 2000-2004 2005-2009 2010-2014 All years
1 Sweden-Lund University . . . . 1.54 1.54
2 Sweden-Swedish Museum of Natural History . . . . 1.54 1.54

Field normalized citation rate (cf), fractionalized



Bar chart of publication_year