Lev1: MINERAL CARBONATION//THERMAL FLOW ENGN//NESQUEHONITE - Statistics for Organizations

Statistics per Organization

Number of publications, full counts

Obs Organization 1990-1994 1995-1999 2000-2004 2005-2009 2010-2014 All years
1 Sweden-Luleå University of Technology . . 3 . 2 5
2 Sweden-Uppsala University . . . . 2 2
3 Sweden-Mclaren Environm . . . . 1 1
4 Sweden-Vattenfall . . . . 1 1

Number of publications, full counts



Bar chart of publication_year

Share of the total number of publications in the field, full counts (%)

Obs Organization 1990-1994 1995-1999 2000-2004 2005-2009 2010-2014 All years
1 Sweden-Luleå University of Technology . . 4.5 . 0.5 0.8
2 Sweden-Uppsala University . . . . 0.5 0.3
3 Sweden-Mclaren Environm . . . . 0.3 0.2
4 Sweden-Vattenfall . . . . 0.3 0.2

Share of the total number of publications in the field, full counts (%)



Bar chart of publication_year

Number of publications among 10% most cited in field, full counts

Obs Organization 1990-1994 1995-1999 2000-2004 2005-2009 2010-2014 All years
1 Sweden-Luleå University of Technology . . 0.7 . 0.0 0.7
2 Sweden-Uppsala University . . . . 0.0 0.0
3 Sweden-Mclaren Environm . . . . 0.0 0.0
4 Sweden-Vattenfall . . . . 0.0 0.0

Number of publications among 10% most cited in field, full counts



Bar chart of publication_year

Share of publications among 10% most cited in field, fractionalized (%)

Obs Organization 1990-1994 1995-1999 2000-2004 2005-2009 2010-2014 All years
1 Sweden-Luleå University of Technology . . 25.0 . 0.0 11.8
2 Sweden-Uppsala University . . . . 0.0 0.0
3 Sweden-Mclaren Environm . . . . 0.0 0.0
4 Sweden-Vattenfall . . . . 0.0 0.0

Share of publications among 10% most cited in field, fractionalized (%)



Bar chart of publication_year

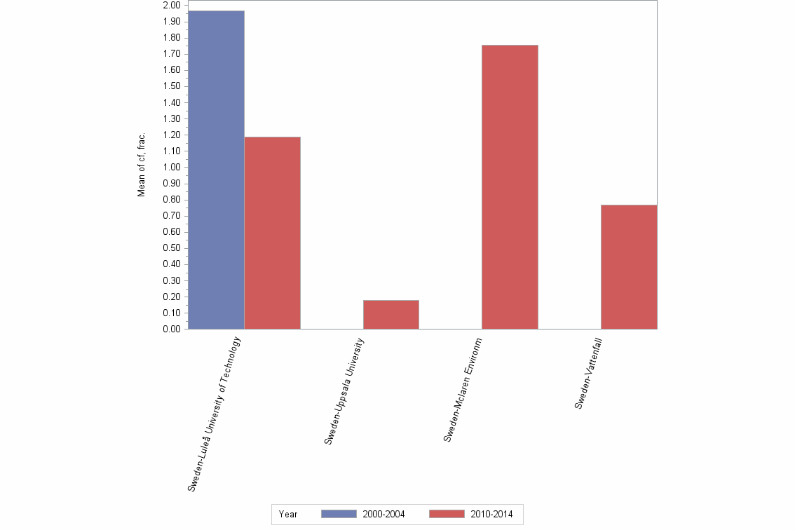
Field normalized citation rate (cf), fractionalized

Obs Organization 1990-1994 1995-1999 2000-2004 2005-2009 2010-2014 All years
1 Sweden-Luleå University of Technology . . 1.97 . 1.19 1.56
2 Sweden-Uppsala University . . . . 0.18 0.18
3 Sweden-Mclaren Environm . . . . 1.76 1.76
4 Sweden-Vattenfall . . . . 0.77 0.77

Field normalized citation rate (cf), fractionalized



Bar chart of publication_year