Lev1: METASTABLE OLIVINE//TUITE//SHOCK VEIN - Statistics for Organizations

Statistics per Organization

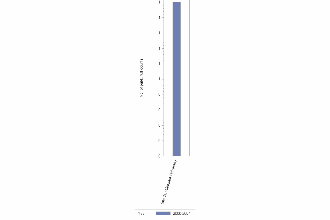
Number of publications, full counts

Obs Organization 1990-1994 1995-1999 2000-2004 2005-2009 2010-2014 All years
1 Sweden-Uppsala University . . 1 . . 1

Number of publications, full counts



Bar chart of publication_year

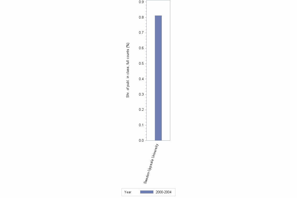
Share of the total number of publications in the field, full counts (%)

Obs Organization 1990-1994 1995-1999 2000-2004 2005-2009 2010-2014 All years
1 Sweden-Uppsala University . . 0.8 . . 0.2

Share of the total number of publications in the field, full counts (%)



Bar chart of publication_year

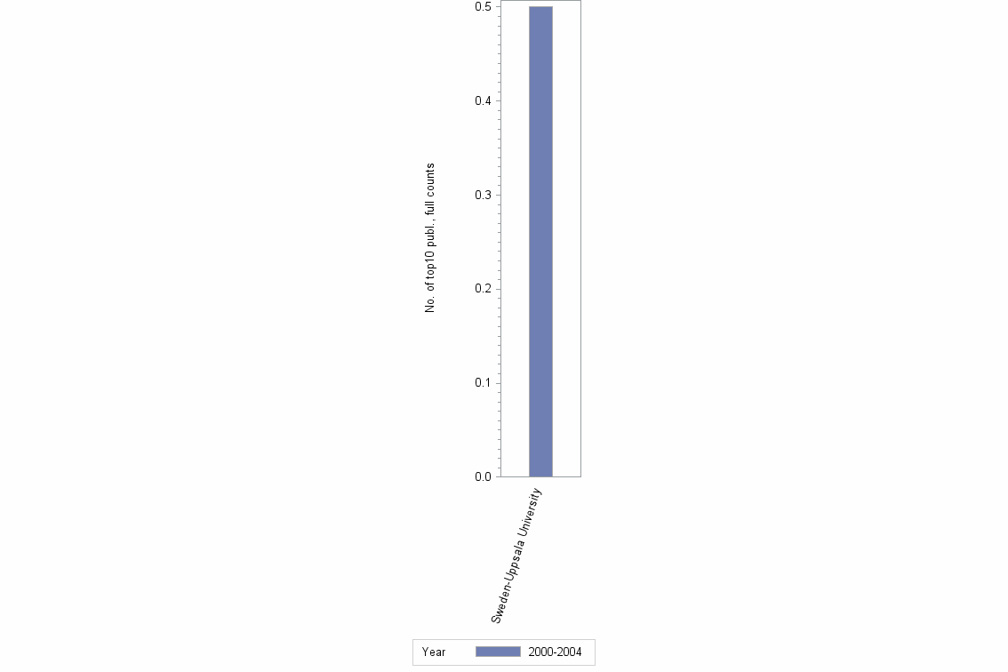
Number of publications among 10% most cited in field, full counts

Obs Organization 1990-1994 1995-1999 2000-2004 2005-2009 2010-2014 All years
1 Sweden-Uppsala University . . 0.5 . . 0.5

Number of publications among 10% most cited in field, full counts



Bar chart of publication_year

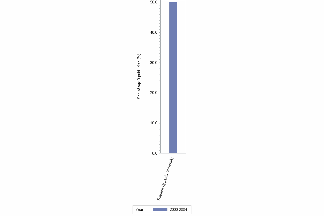
Share of publications among 10% most cited in field, fractionalized (%)

Obs Organization 1990-1994 1995-1999 2000-2004 2005-2009 2010-2014 All years
1 Sweden-Uppsala University . . 50.0 . . 50.0

Share of publications among 10% most cited in field, fractionalized (%)



Bar chart of publication_year

Field normalized citation rate (cf), fractionalized

Obs Organization 1990-1994 1995-1999 2000-2004 2005-2009 2010-2014 All years
1 Sweden-Uppsala University . . 2.76 . . 2.76

Field normalized citation rate (cf), fractionalized



Bar chart of publication_year