Lev1: JOURNAL OF PETROLOGY//MANTLE MELTING//HAWAIIAN PLUME - Statistics for Organizations

Statistics per Organization

Number of publications, full counts

Obs Organization 1990-1994 1995-1999 2000-2004 2005-2009 2010-2014 All years
1 Sweden-Swedish Museum of Natural History . . . . 4 4
2 Sweden-Uppsala University . . . . 3 3
3 Sweden-University of Gothenburg . . 2 . . 2
4 Sweden-Stockholm University . . . . 1 1

Number of publications, full counts



Bar chart of publication_year

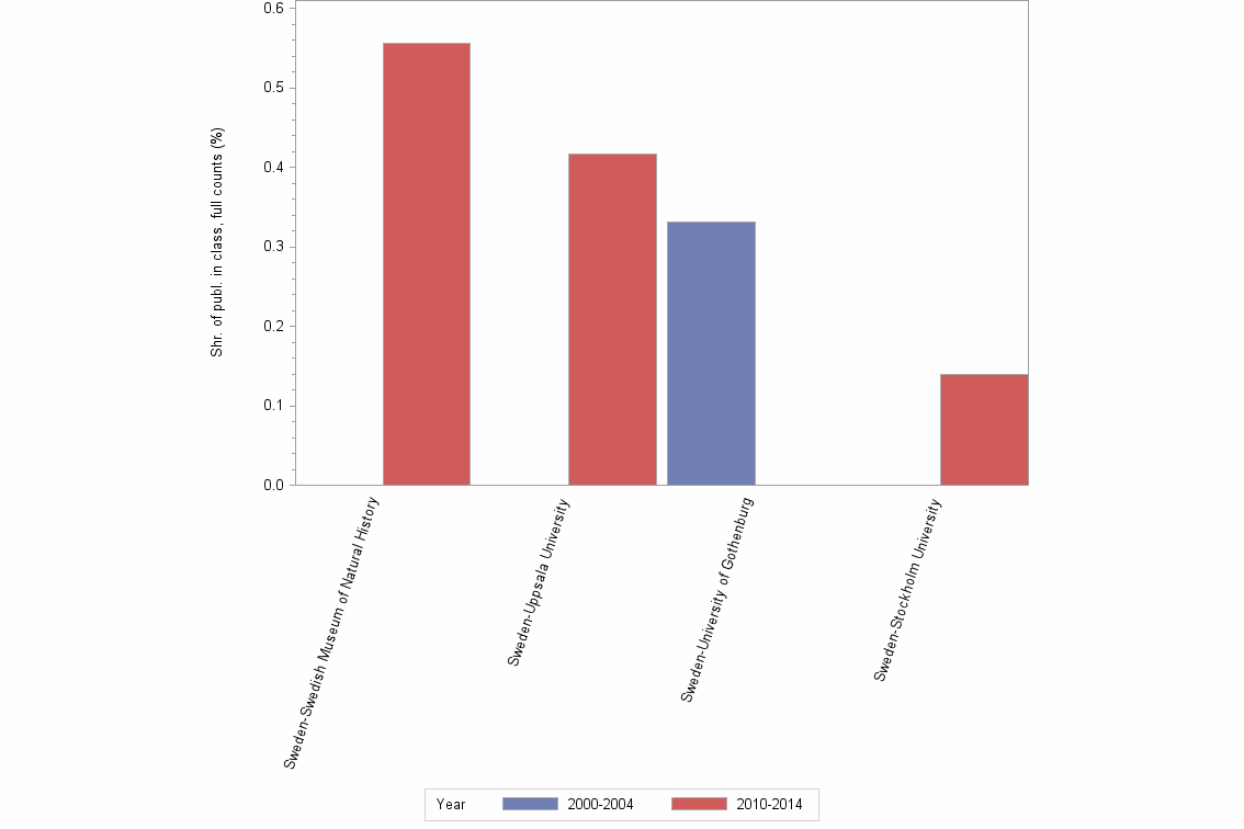
Share of the total number of publications in the field, full counts (%)

Obs Organization 1990-1994 1995-1999 2000-2004 2005-2009 2010-2014 All years
1 Sweden-Swedish Museum of Natural History . . . . 0.6 0.1
2 Sweden-Uppsala University . . . . 0.4 0.1
3 Sweden-University of Gothenburg . . 0.3 . . 0.1
4 Sweden-Stockholm University . . . . 0.1 0.0

Share of the total number of publications in the field, full counts (%)



Bar chart of publication_year

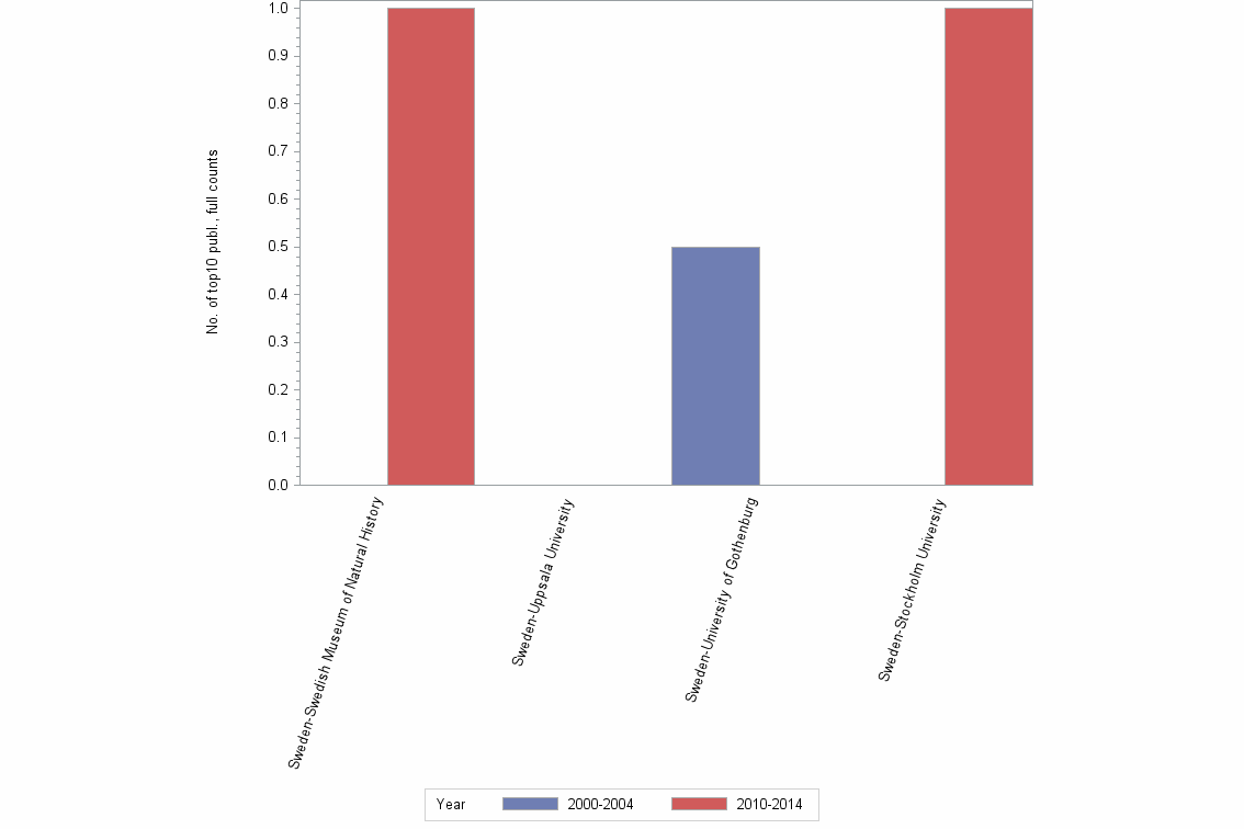
Number of publications among 10% most cited in field, full counts

Obs Organization 1990-1994 1995-1999 2000-2004 2005-2009 2010-2014 All years
1 Sweden-Swedish Museum of Natural History . . . . 1.0 1.0
2 Sweden-Uppsala University . . . . 0.0 0.0
3 Sweden-University of Gothenburg . . 0.5 . . 0.5
4 Sweden-Stockholm University . . . . 1.0 1.0

Number of publications among 10% most cited in field, full counts



Bar chart of publication_year

Share of publications among 10% most cited in field, fractionalized (%)

Obs Organization 1990-1994 1995-1999 2000-2004 2005-2009 2010-2014 All years
1 Sweden-Swedish Museum of Natural History . . . . 19.4 19.4
2 Sweden-Uppsala University . . . . 0.0 0.0
3 Sweden-University of Gothenburg . . 16.7 . . 16.7
4 Sweden-Stockholm University . . . . 100.0 100.0

Share of publications among 10% most cited in field, fractionalized (%)



Bar chart of publication_year

Field normalized citation rate (cf), fractionalized

Obs Organization 1990-1994 1995-1999 2000-2004 2005-2009 2010-2014 All years
1 Sweden-Swedish Museum of Natural History . . . . 2.25 2.25
2 Sweden-Uppsala University . . . . 0.84 0.84
3 Sweden-University of Gothenburg . . 1.48 . . 1.48
4 Sweden-Stockholm University . . . . 7.46 7.46

Field normalized citation rate (cf), fractionalized



Bar chart of publication_year