Lev1: EMEISHAN LARGE IGNEOUS PROVINCE//EMEISHAN//SW CHINA - Statistics for Organizations

Statistics per Organization

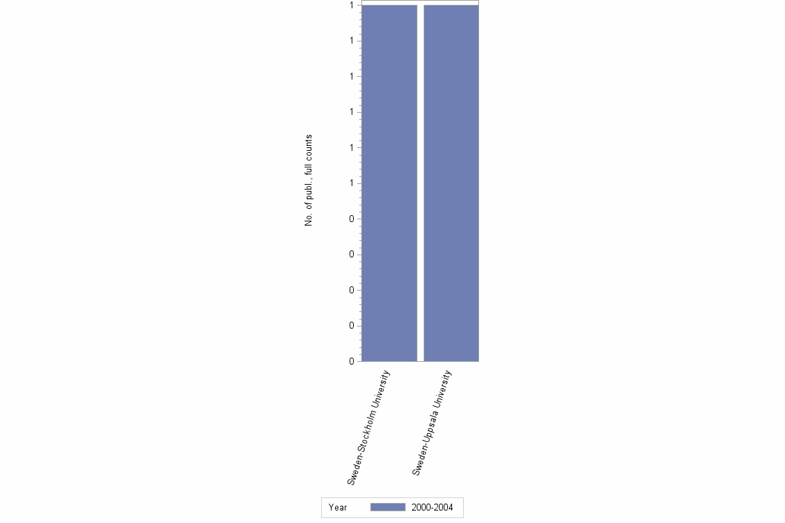
Number of publications, full counts

Obs Organization 1990-1994 1995-1999 2000-2004 2005-2009 2010-2014 All years
1 Sweden-Stockholm University . . 1 . . 1
2 Sweden-Uppsala University . . 1 . . 1

Number of publications, full counts



Bar chart of publication_year

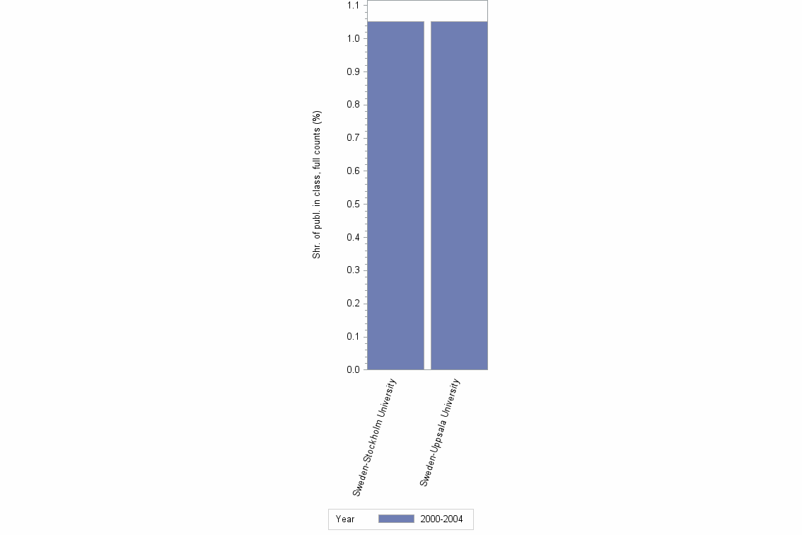
Share of the total number of publications in the field, full counts (%)

Obs Organization 1990-1994 1995-1999 2000-2004 2005-2009 2010-2014 All years
1 Sweden-Stockholm University . . 1.1 . . 0.2
2 Sweden-Uppsala University . . 1.1 . . 0.2

Share of the total number of publications in the field, full counts (%)



Bar chart of publication_year

Number of publications among 10% most cited in field, full counts

Obs Organization 1990-1994 1995-1999 2000-2004 2005-2009 2010-2014 All years
1 Sweden-Stockholm University . . 0.5 . . 0.5
2 Sweden-Uppsala University . . 0.5 . . 0.5

Number of publications among 10% most cited in field, full counts



Bar chart of publication_year

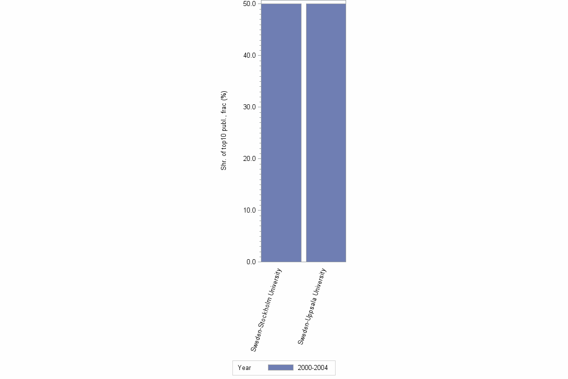
Share of publications among 10% most cited in field, fractionalized (%)

Obs Organization 1990-1994 1995-1999 2000-2004 2005-2009 2010-2014 All years
1 Sweden-Stockholm University . . 50.0 . . 50.0
2 Sweden-Uppsala University . . 50.0 . . 50.0

Share of publications among 10% most cited in field, fractionalized (%)



Bar chart of publication_year

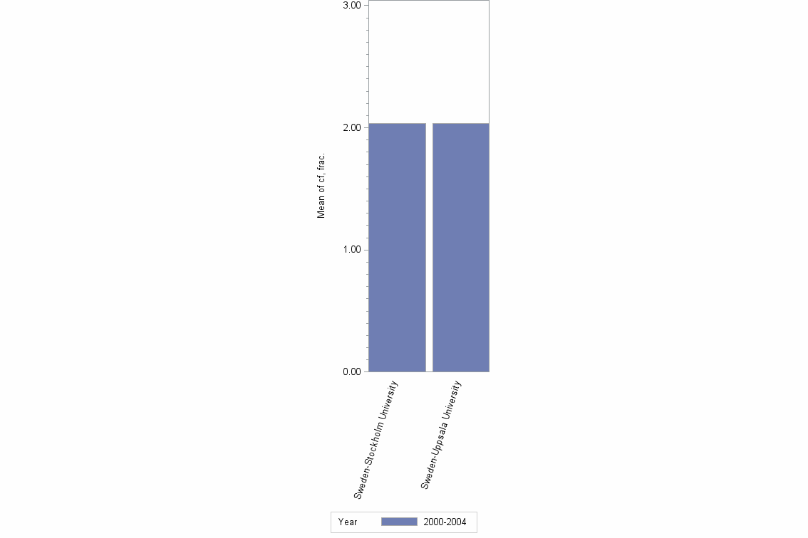
Field normalized citation rate (cf), fractionalized

Obs Organization 1990-1994 1995-1999 2000-2004 2005-2009 2010-2014 All years
1 Sweden-Stockholm University . . 2.04 . . 2.04
2 Sweden-Uppsala University . . 2.04 . . 2.04

Field normalized citation rate (cf), fractionalized



Bar chart of publication_year