Lev1: AMAZONIAN CRATON//BIRIMIAN//WEST AFRICAN CRATON - Statistics for Organizations

Statistics per Organization

Number of publications, full counts

Obs Organization 1990-1994 1995-1999 2000-2004 2005-2009 2010-2014 All years
1 Sweden-Luleå University of Technology . . . 3 2 5
2 Sweden-Swedish Museum of Natural History . . . 1 1 2
3 Sweden-JB MinQuest . . . . 1 1
4 Sweden-Lund University . . . 1 . 1

Number of publications, full counts



Bar chart of publication_year

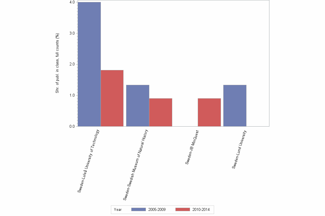
Share of the total number of publications in the field, full counts (%)

Obs Organization 1990-1994 1995-1999 2000-2004 2005-2009 2010-2014 All years
1 Sweden-Luleå University of Technology . . . 4.0 1.8 1.3
2 Sweden-Swedish Museum of Natural History . . . 1.3 0.9 0.5
3 Sweden-JB MinQuest . . . . 0.9 0.3
4 Sweden-Lund University . . . 1.3 . 0.3

Share of the total number of publications in the field, full counts (%)



Bar chart of publication_year

Number of publications among 10% most cited in field, full counts

Obs Organization 1990-1994 1995-1999 2000-2004 2005-2009 2010-2014 All years
1 Sweden-Luleå University of Technology . . . 0.0 0.0 0.0
2 Sweden-Swedish Museum of Natural History . . . 1.0 0.0 1.0
3 Sweden-JB MinQuest . . . . 0.0 0.0
4 Sweden-Lund University . . . 0.0 . 0.0

Number of publications among 10% most cited in field, full counts



Bar chart of publication_year

Share of publications among 10% most cited in field, fractionalized (%)

Obs Organization 1990-1994 1995-1999 2000-2004 2005-2009 2010-2014 All years
1 Sweden-Luleå University of Technology . . . 0.0 0.0 0.0
2 Sweden-Swedish Museum of Natural History . . . 100.0 0.0 83.3
3 Sweden-JB MinQuest . . . . 0.0 0.0
4 Sweden-Lund University . . . 0.0 . 0.0

Share of publications among 10% most cited in field, fractionalized (%)



Bar chart of publication_year

Field normalized citation rate (cf), fractionalized

Obs Organization 1990-1994 1995-1999 2000-2004 2005-2009 2010-2014 All years
1 Sweden-Luleå University of Technology . . . 1.29 1.65 1.42
2 Sweden-Swedish Museum of Natural History . . . 4.04 0.91 3.52
3 Sweden-JB MinQuest . . . . 0.25 0.25
4 Sweden-Lund University . . . 0.32 . 0.32

Field normalized citation rate (cf), fractionalized



Bar chart of publication_year