Lev1: ENARGITE//SULFURIC ACID BAKING//TETRAHEDRITE - Statistics for Organizations

Statistics per Organization

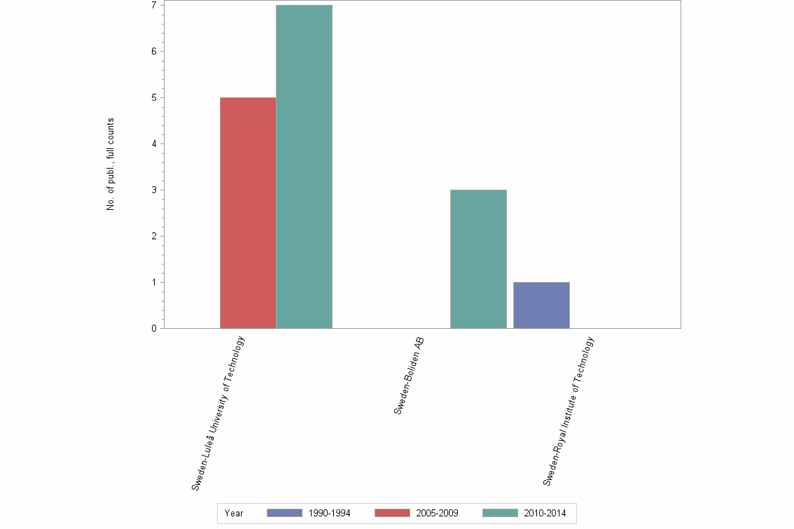
Number of publications, full counts

Obs Organization 1990-1994 1995-1999 2000-2004 2005-2009 2010-2014 All years
1 Sweden-Luleå University of Technology . . . 5 7 12
2 Sweden-Boliden AB . . . . 3 3
3 Sweden-Royal Institute of Technology 1 . . . . 1

Number of publications, full counts



Bar chart of publication_year

Share of the total number of publications in the field, full counts (%)

Obs Organization 1990-1994 1995-1999 2000-2004 2005-2009 2010-2014 All years
1 Sweden-Luleå University of Technology . . . 7.2 7.5 3.3
2 Sweden-Boliden AB . . . . 3.2 0.8
3 Sweden-Royal Institute of Technology 2.3 . . . . 0.3

Share of the total number of publications in the field, full counts (%)



Bar chart of publication_year

Number of publications among 10% most cited in field, full counts

Obs Organization 1990-1994 1995-1999 2000-2004 2005-2009 2010-2014 All years
1 Sweden-Luleå University of Technology . . . 1.3 0.0 1.3
2 Sweden-Boliden AB . . . . 0.0 0.0
3 Sweden-Royal Institute of Technology 0.0 . . . . 0.0

Number of publications among 10% most cited in field, full counts



Bar chart of publication_year

Share of publications among 10% most cited in field, fractionalized (%)

Obs Organization 1990-1994 1995-1999 2000-2004 2005-2009 2010-2014 All years
1 Sweden-Luleå University of Technology . . . 29.6 0.0 13.3
2 Sweden-Boliden AB . . . . 0.0 0.0
3 Sweden-Royal Institute of Technology 0.0 . . . . 0.0

Share of publications among 10% most cited in field, fractionalized (%)



Bar chart of publication_year

Field normalized citation rate (cf), fractionalized

Obs Organization 1990-1994 1995-1999 2000-2004 2005-2009 2010-2014 All years
1 Sweden-Luleå University of Technology . . . 2.29 1.17 1.67
2 Sweden-Boliden AB . . . . 0.75 0.75
3 Sweden-Royal Institute of Technology 0.00 . . . . 0.00

Field normalized citation rate (cf), fractionalized



Bar chart of publication_year