Lev1: ENVIRONMENTAL ENGINEERING AND MANAGEMENT JOURNAL//GLOBAL POLLUTION INDEX//DRILLING EXTRACT TRANSPORT HYDROCARBONS - Statistics for Organizations

Statistics per Organization

Number of publications, full counts

Obs Organization 1990-1994 1995-1999 2000-2004 2005-2009 2010-2014 All years
1 Sweden-Lund University . . . 2 . 2
2 Sweden-Royal Institute of Technology . . . . 1 1
3 Sweden-Swedish University of Agricultural Sciences . . . . 1 1
4 Sweden-Uppsala University . . . . 1 1

Number of publications, full counts



Bar chart of publication_year

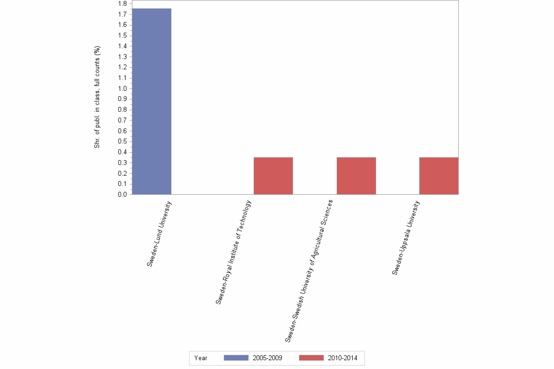
Share of the total number of publications in the field, full counts (%)

Obs Organization 1990-1994 1995-1999 2000-2004 2005-2009 2010-2014 All years
1 Sweden-Lund University . . . 1.8 . 0.5
2 Sweden-Royal Institute of Technology . . . . 0.4 0.2
3 Sweden-Swedish University of Agricultural Sciences . . . . 0.4 0.2
4 Sweden-Uppsala University . . . . 0.4 0.2

Share of the total number of publications in the field, full counts (%)



Bar chart of publication_year

Number of publications among 10% most cited in field, full counts

Obs Organization 1990-1994 1995-1999 2000-2004 2005-2009 2010-2014 All years
1 Sweden-Lund University . . . 0.0 . 0.0
2 Sweden-Royal Institute of Technology . . . . 0.0 0.0
3 Sweden-Swedish University of Agricultural Sciences . . . . 0.0 0.0
4 Sweden-Uppsala University . . . . 0.0 0.0

Number of publications among 10% most cited in field, full counts



Bar chart of publication_year

Share of publications among 10% most cited in field, fractionalized (%)

Obs Organization 1990-1994 1995-1999 2000-2004 2005-2009 2010-2014 All years
1 Sweden-Lund University . . . 0.0 . 0.0
2 Sweden-Royal Institute of Technology . . . . 0.0 0.0
3 Sweden-Swedish University of Agricultural Sciences . . . . 0.0 0.0
4 Sweden-Uppsala University . . . . 0.0 0.0

Share of publications among 10% most cited in field, fractionalized (%)



Bar chart of publication_year

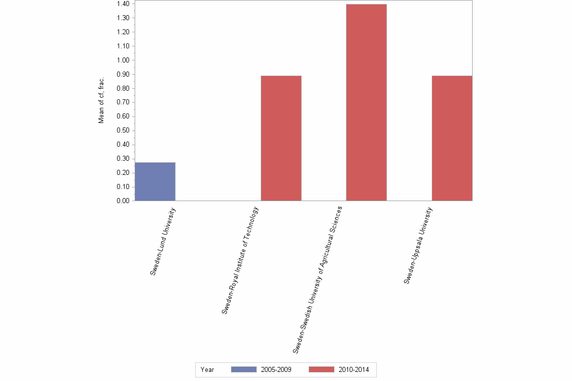
Field normalized citation rate (cf), fractionalized

Obs Organization 1990-1994 1995-1999 2000-2004 2005-2009 2010-2014 All years
1 Sweden-Lund University . . . 0.27 . 0.27
2 Sweden-Royal Institute of Technology . . . . 0.89 0.89
3 Sweden-Swedish University of Agricultural Sciences . . . . 1.40 1.40
4 Sweden-Uppsala University . . . . 0.89 0.89

Field normalized citation rate (cf), fractionalized



Bar chart of publication_year