Lev1: COPPER SLAG//NI CU MATTE//SMELTER SLAG - Statistics for Organizations

Statistics per Organization

Number of publications, full counts

Obs Organization 1990-1994 1995-1999 2000-2004 2005-2009 2010-2014 All years
1 Sweden-Luleå University of Technology . . 1 . 1 2

Number of publications, full counts



Bar chart of publication_year

Share of the total number of publications in the field, full counts (%)

Obs Organization 1990-1994 1995-1999 2000-2004 2005-2009 2010-2014 All years
1 Sweden-Luleå University of Technology . . 1.4 . 0.8 0.6

Share of the total number of publications in the field, full counts (%)



Bar chart of publication_year

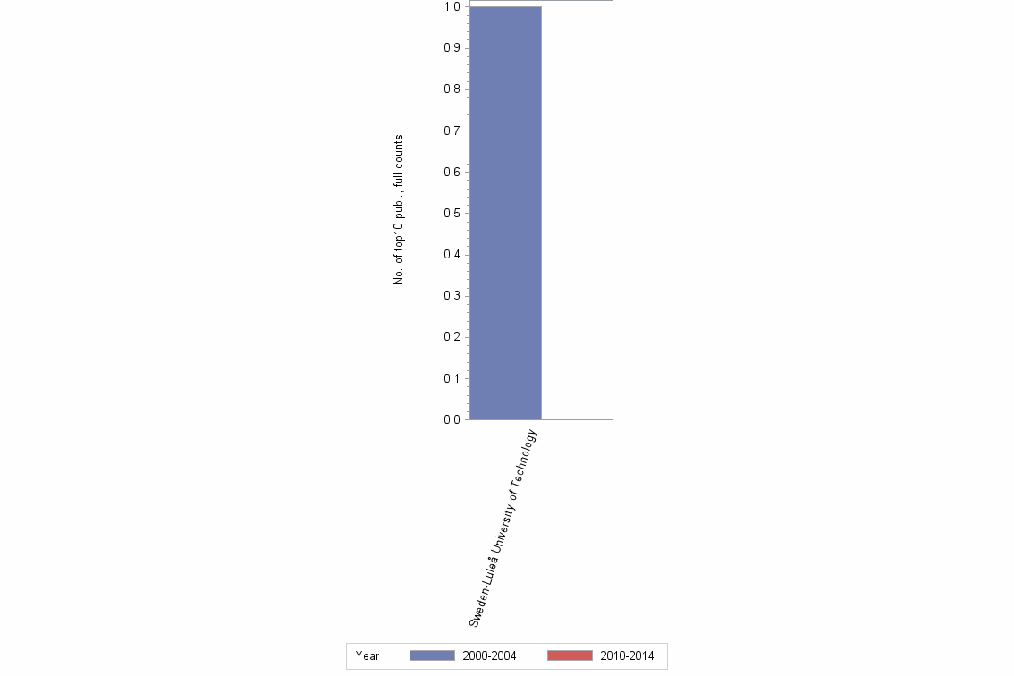
Number of publications among 10% most cited in field, full counts

Obs Organization 1990-1994 1995-1999 2000-2004 2005-2009 2010-2014 All years
1 Sweden-Luleå University of Technology . . 1.0 . 0.0 1.0

Number of publications among 10% most cited in field, full counts



Bar chart of publication_year

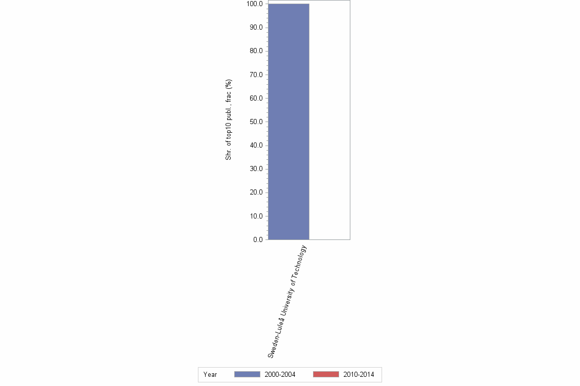
Share of publications among 10% most cited in field, fractionalized (%)

Obs Organization 1990-1994 1995-1999 2000-2004 2005-2009 2010-2014 All years
1 Sweden-Luleå University of Technology . . 100.0 . 0.0 50.0

Share of publications among 10% most cited in field, fractionalized (%)



Bar chart of publication_year

Field normalized citation rate (cf), fractionalized

Obs Organization 1990-1994 1995-1999 2000-2004 2005-2009 2010-2014 All years
1 Sweden-Luleå University of Technology . . 4.31 . 0.34 2.33

Field normalized citation rate (cf), fractionalized



Bar chart of publication_year