Lev1: CLOSED LOOP CONTROL PERFORMANCE//INDUSTRIAL COKE FURNACE//NON MINIMAL STATE SPACE - Statistics for Organizations

Statistics per Organization

Number of publications, full counts

Obs Organization 1990-1994 1995-1999 2000-2004 2005-2009 2010-2014 All years
1 Sweden-Linköping University . . . 2 . 2
2 Sweden-Umeå University . . . . 2 2
3 Sweden-Royal Institute of Technology . . . 1 . 1
4 Sweden-Swedish University of Agricultural Sciences . . . . 1 1

Number of publications, full counts



Bar chart of publication_year

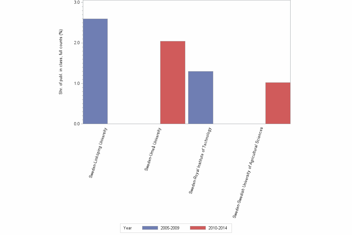
Share of the total number of publications in the field, full counts (%)

Obs Organization 1990-1994 1995-1999 2000-2004 2005-2009 2010-2014 All years
1 Sweden-Linköping University . . . 2.6 . 0.6
2 Sweden-Umeå University . . . . 2.0 0.6
3 Sweden-Royal Institute of Technology . . . 1.3 . 0.3
4 Sweden-Swedish University of Agricultural Sciences . . . . 1.0 0.3

Share of the total number of publications in the field, full counts (%)



Bar chart of publication_year

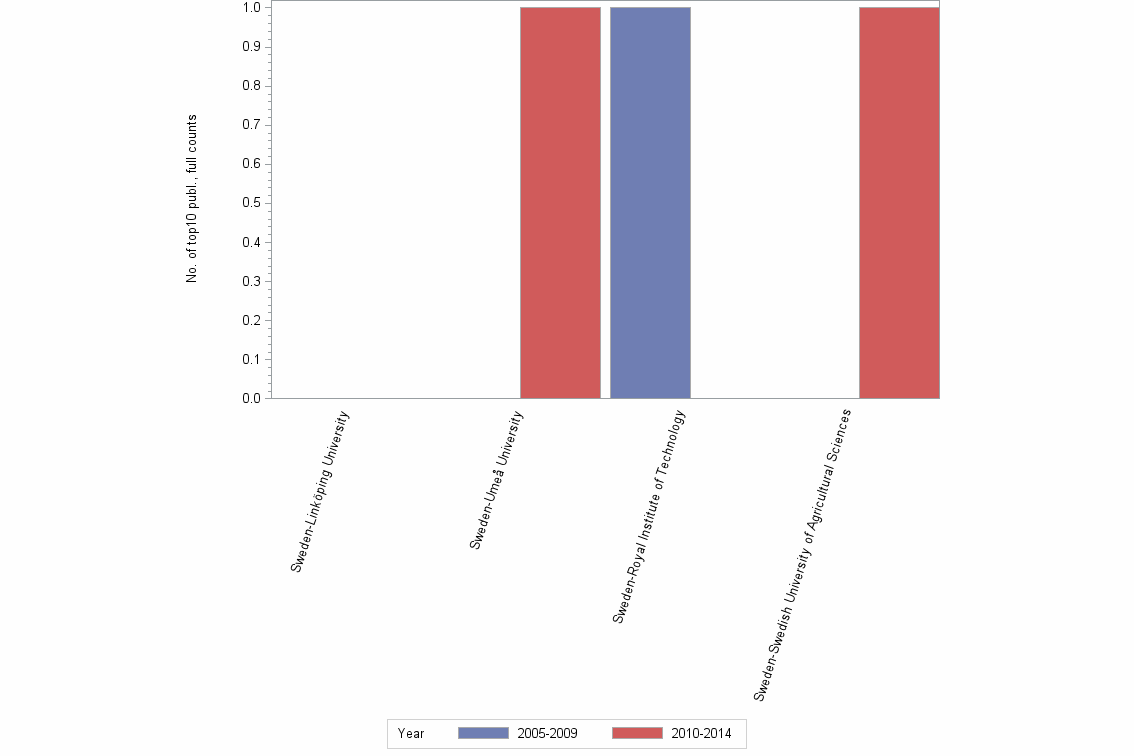
Number of publications among 10% most cited in field, full counts

Obs Organization 1990-1994 1995-1999 2000-2004 2005-2009 2010-2014 All years
1 Sweden-Linköping University . . . 0.0 . 0.0
2 Sweden-Umeå University . . . . 1.0 1.0
3 Sweden-Royal Institute of Technology . . . 1.0 . 1.0
4 Sweden-Swedish University of Agricultural Sciences . . . . 1.0 1.0

Number of publications among 10% most cited in field, full counts



Bar chart of publication_year

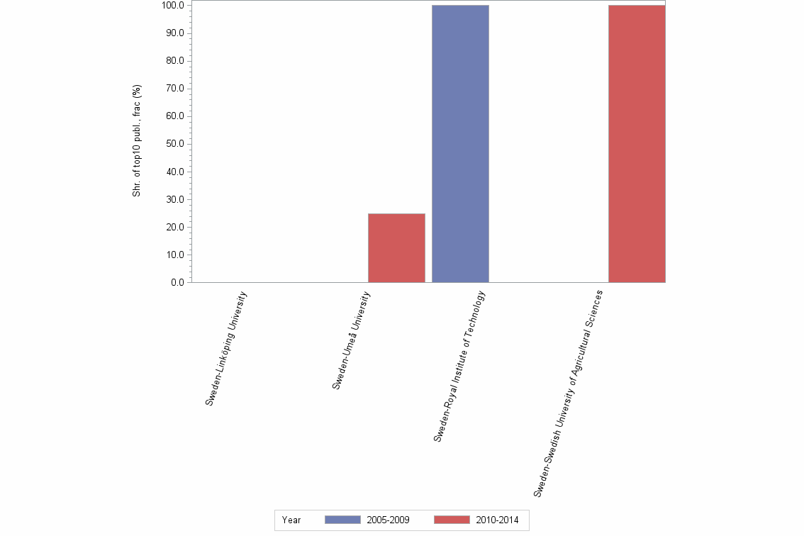
Share of publications among 10% most cited in field, fractionalized (%)

Obs Organization 1990-1994 1995-1999 2000-2004 2005-2009 2010-2014 All years
1 Sweden-Linköping University . . . 0.0 . 0.0
2 Sweden-Umeå University . . . . 25.0 25.0
3 Sweden-Royal Institute of Technology . . . 100.0 . 100.0
4 Sweden-Swedish University of Agricultural Sciences . . . . 100.0 100.0

Share of publications among 10% most cited in field, fractionalized (%)



Bar chart of publication_year

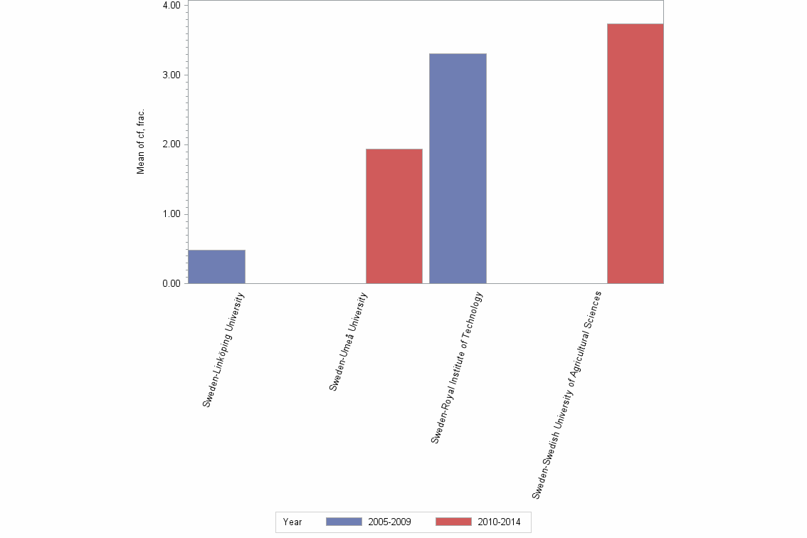
Field normalized citation rate (cf), fractionalized

Obs Organization 1990-1994 1995-1999 2000-2004 2005-2009 2010-2014 All years
1 Sweden-Linköping University . . . 0.48 . 0.48
2 Sweden-Umeå University . . . . 1.94 1.94
3 Sweden-Royal Institute of Technology . . . 3.31 . 3.31
4 Sweden-Swedish University of Agricultural Sciences . . . . 3.73 3.73

Field normalized citation rate (cf), fractionalized



Bar chart of publication_year