Lev1: LIBERATION ANALYSIS//MINERAL LIBERATION//ORE SORTING - Statistics for Organizations

Statistics per Organization

Number of publications, full counts

Obs Organization 1990-1994 1995-1999 2000-2004 2005-2009 2010-2014 All years
1 Sweden-Luleå University of Technology 1 . 1 2 5 9
2 Sweden-LKAB . . 1 . 1 2

Number of publications, full counts



Bar chart of publication_year

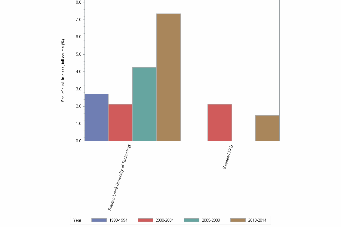
Share of the total number of publications in the field, full counts (%)

Obs Organization 1990-1994 1995-1999 2000-2004 2005-2009 2010-2014 All years
1 Sweden-Luleå University of Technology 2.7 . 2.1 4.3 7.4 3.7
2 Sweden-LKAB . . 2.1 . 1.5 0.8

Share of the total number of publications in the field, full counts (%)



Bar chart of publication_year

Number of publications among 10% most cited in field, full counts

Obs Organization 1990-1994 1995-1999 2000-2004 2005-2009 2010-2014 All years
1 Sweden-Luleå University of Technology 0.0 . 0.0 0.0 0.5 0.5
2 Sweden-LKAB . . 0.0 . 0.3 0.3

Number of publications among 10% most cited in field, full counts



Bar chart of publication_year

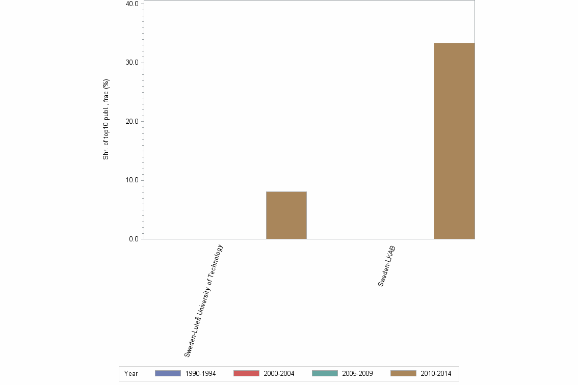
Share of publications among 10% most cited in field, fractionalized (%)

Obs Organization 1990-1994 1995-1999 2000-2004 2005-2009 2010-2014 All years
1 Sweden-Luleå University of Technology 0.0 . 0.0 0.0 8.1 4.9
2 Sweden-LKAB . . 0.0 . 33.3 13.3

Share of publications among 10% most cited in field, fractionalized (%)



Bar chart of publication_year

Field normalized citation rate (cf), fractionalized

Obs Organization 1990-1994 1995-1999 2000-2004 2005-2009 2010-2014 All years
1 Sweden-Luleå University of Technology 0.64 . 0.41 0.31 1.13 0.86
2 Sweden-LKAB . . 0.41 . 2.29 1.16

Field normalized citation rate (cf), fractionalized



Bar chart of publication_year