Lev1: CRICHTONITE GROUP//SENAITE//CRICHTONITE - Statistics for Organizations

Statistics per Organization

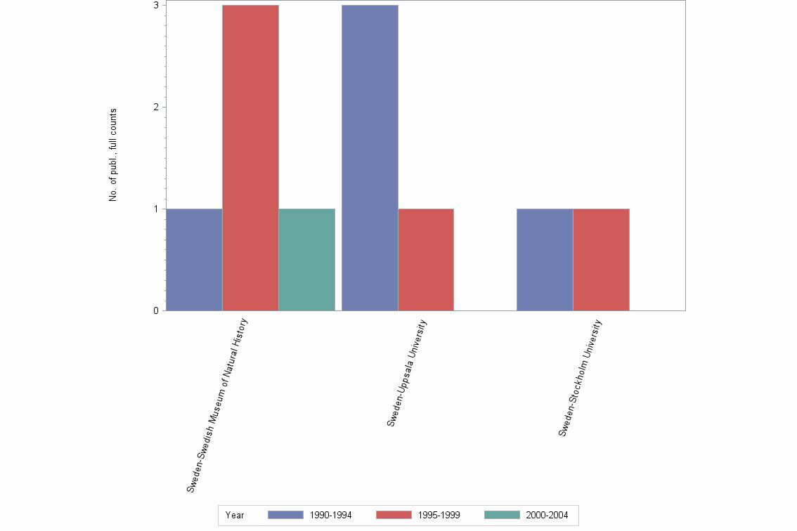
Number of publications, full counts

Obs Organization 1990-1994 1995-1999 2000-2004 2005-2009 2010-2014 All years
1 Sweden-Swedish Museum of Natural History 1 3 1 . . 5
2 Sweden-Uppsala University 3 1 . . . 4
3 Sweden-Stockholm University 1 1 . . . 2

Number of publications, full counts



Bar chart of publication_year

Share of the total number of publications in the field, full counts (%)

Obs Organization 1990-1994 1995-1999 2000-2004 2005-2009 2010-2014 All years
1 Sweden-Swedish Museum of Natural History 1.5 8.6 5.6 . . 3.2
2 Sweden-Uppsala University 4.5 2.9 . . . 2.5
3 Sweden-Stockholm University 1.5 2.9 . . . 1.3

Share of the total number of publications in the field, full counts (%)



Bar chart of publication_year

Number of publications among 10% most cited in field, full counts

Obs Organization 1990-1994 1995-1999 2000-2004 2005-2009 2010-2014 All years
1 Sweden-Swedish Museum of Natural History 0.0 0.0 0.0 . . 0.0
2 Sweden-Uppsala University 0.0 0.0 . . . 0.0
3 Sweden-Stockholm University 0.0 0.0 . . . 0.0

Number of publications among 10% most cited in field, full counts



Bar chart of publication_year

Share of publications among 10% most cited in field, fractionalized (%)

Obs Organization 1990-1994 1995-1999 2000-2004 2005-2009 2010-2014 All years
1 Sweden-Swedish Museum of Natural History 0.0 0.0 0.0 . . 0.0
2 Sweden-Uppsala University 0.0 0.0 . . . 0.0
3 Sweden-Stockholm University 0.0 0.0 . . . 0.0

Share of publications among 10% most cited in field, fractionalized (%)



Bar chart of publication_year

Field normalized citation rate (cf), fractionalized

Obs Organization 1990-1994 1995-1999 2000-2004 2005-2009 2010-2014 All years
1 Sweden-Swedish Museum of Natural History 0.05 0.25 0.05 . . 0.17
2 Sweden-Uppsala University 0.05 0.22 . . . 0.08
3 Sweden-Stockholm University 0.04 0.22 . . . 0.13

Field normalized citation rate (cf), fractionalized



Bar chart of publication_year