Lev1: ROCK BOLT//GROUND ANCHORAGES//D BOLT - Statistics for Organizations

Statistics per Organization

Number of publications, full counts

Obs Organization 1990-1994 1995-1999 2000-2004 2005-2009 2010-2014 All years
1 Sweden-Royal Institute of Technology . . . 2 . 2
2 Sweden-Luleå University of Technology . 1 . . . 1

Number of publications, full counts



Bar chart of publication_year

Share of the total number of publications in the field, full counts (%)

Obs Organization 1990-1994 1995-1999 2000-2004 2005-2009 2010-2014 All years
1 Sweden-Royal Institute of Technology . . . 4.9 . 0.9
2 Sweden-Luleå University of Technology . 3.3 . . . 0.5

Share of the total number of publications in the field, full counts (%)



Bar chart of publication_year

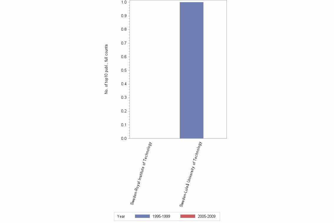
Number of publications among 10% most cited in field, full counts

Obs Organization 1990-1994 1995-1999 2000-2004 2005-2009 2010-2014 All years
1 Sweden-Royal Institute of Technology . . . 0.0 . 0.0
2 Sweden-Luleå University of Technology . 1.0 . . . 1.0

Number of publications among 10% most cited in field, full counts



Bar chart of publication_year

Share of publications among 10% most cited in field, fractionalized (%)

Obs Organization 1990-1994 1995-1999 2000-2004 2005-2009 2010-2014 All years
1 Sweden-Royal Institute of Technology . . . 0.0 . 0.0
2 Sweden-Luleå University of Technology . 100.0 . . . 100.0

Share of publications among 10% most cited in field, fractionalized (%)



Bar chart of publication_year

Field normalized citation rate (cf), fractionalized

Obs Organization 1990-1994 1995-1999 2000-2004 2005-2009 2010-2014 All years
1 Sweden-Royal Institute of Technology . . . 0.66 . 0.66
2 Sweden-Luleå University of Technology . 7.51 . . . 7.51

Field normalized citation rate (cf), fractionalized



Bar chart of publication_year