Lev1: NEW ZEALAND JOURNAL OF GEOLOGY AND GEOPHYSICS//ALPINE FAULT//OTAGO SCHIST - Statistics for Organizations

Statistics per Organization

Number of publications, full counts

Obs Organization 1990-1994 1995-1999 2000-2004 2005-2009 2010-2014 All years
1 Sweden-Stockholm University . . . . 3 3
2 Sweden-Lund University . . . . 1 1

Number of publications, full counts



Bar chart of publication_year

Share of the total number of publications in the field, full counts (%)

Obs Organization 1990-1994 1995-1999 2000-2004 2005-2009 2010-2014 All years
1 Sweden-Stockholm University . . . . 0.8 0.2
2 Sweden-Lund University . . . . 0.3 0.1

Share of the total number of publications in the field, full counts (%)



Bar chart of publication_year

Number of publications among 10% most cited in field, full counts

Obs Organization 1990-1994 1995-1999 2000-2004 2005-2009 2010-2014 All years
1 Sweden-Stockholm University . . . . 0.9 0.9
2 Sweden-Lund University . . . . 0.0 0.0

Number of publications among 10% most cited in field, full counts



Bar chart of publication_year

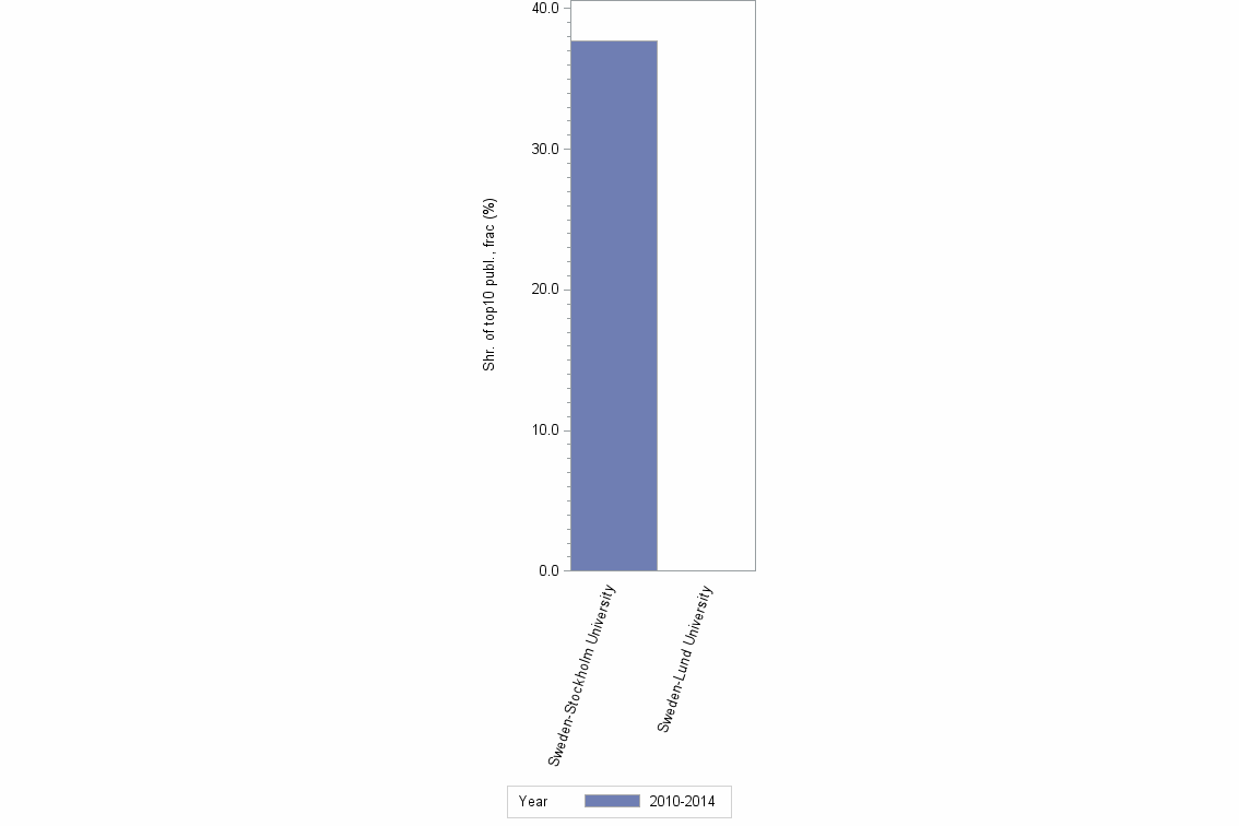
Share of publications among 10% most cited in field, fractionalized (%)

Obs Organization 1990-1994 1995-1999 2000-2004 2005-2009 2010-2014 All years
1 Sweden-Stockholm University . . . . 37.7 37.7
2 Sweden-Lund University . . . . 0.0 0.0

Share of publications among 10% most cited in field, fractionalized (%)



Bar chart of publication_year

Field normalized citation rate (cf), fractionalized

Obs Organization 1990-1994 1995-1999 2000-2004 2005-2009 2010-2014 All years
1 Sweden-Stockholm University . . . . 1.85 1.85
2 Sweden-Lund University . . . . 0.25 0.25

Field normalized citation rate (cf), fractionalized



Bar chart of publication_year