Lev1: LIMPOPO BELT//KAAPVAAL CRATON//PILBARA CRATON - Statistics for Organizations

Statistics per Organization

Number of publications, full counts

Obs Organization 1990-1994 1995-1999 2000-2004 2005-2009 2010-2014 All years
1 Sweden-Lund University . . . . 6 6
2 Sweden-Swedish Museum of Natural History . . . 1 2 3
3 Sweden-University of Gothenburg . 1 . . . 1

Number of publications, full counts



Bar chart of publication_year

Share of the total number of publications in the field, full counts (%)

Obs Organization 1990-1994 1995-1999 2000-2004 2005-2009 2010-2014 All years
1 Sweden-Lund University . . . . 3.9 0.7
2 Sweden-Swedish Museum of Natural History . . . 0.8 1.3 0.4
3 Sweden-University of Gothenburg . 0.5 . . . 0.1

Share of the total number of publications in the field, full counts (%)



Bar chart of publication_year

Number of publications among 10% most cited in field, full counts

Obs Organization 1990-1994 1995-1999 2000-2004 2005-2009 2010-2014 All years
1 Sweden-Lund University . . . . 3.0 3.0
2 Sweden-Swedish Museum of Natural History . . . 0.0 1.0 1.0
3 Sweden-University of Gothenburg . 1.0 . . . 1.0

Number of publications among 10% most cited in field, full counts



Bar chart of publication_year

Share of publications among 10% most cited in field, fractionalized (%)

Obs Organization 1990-1994 1995-1999 2000-2004 2005-2009 2010-2014 All years
1 Sweden-Lund University . . . . 49.1 49.1
2 Sweden-Swedish Museum of Natural History . . . 0.0 28.6 19.4
3 Sweden-University of Gothenburg . 100.0 . . . 100.0

Share of publications among 10% most cited in field, fractionalized (%)



Bar chart of publication_year

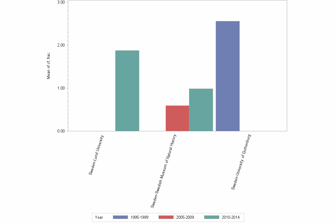
Field normalized citation rate (cf), fractionalized

Obs Organization 1990-1994 1995-1999 2000-2004 2005-2009 2010-2014 All years
1 Sweden-Lund University . . . . 1.88 1.88
2 Sweden-Swedish Museum of Natural History . . . 0.60 0.99 0.87
3 Sweden-University of Gothenburg . 2.56 . . . 2.56

Field normalized citation rate (cf), fractionalized



Bar chart of publication_year