Lev2: BEIJING CRYSTAL DEV//BORATE//XINJIANG ELECT INFORMAT MAT DEVICES - Statistics for Organizations

Statistics per Organization

Number of publications, full counts

Obs Organization 1990-1994 1995-1999 2000-2004 2005-2009 2010-2014 All years
1 Sweden-Stockholm University 4 2 1 . . 7
2 Sweden-Lund University 3 1 . . . 4
3 Sweden-Swedish Museum of Natural History . 1 1 . . 2

Number of publications, full counts



Bar chart of publication_year

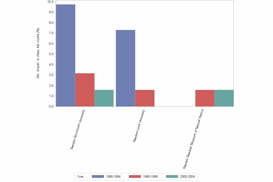
Share of the total number of publications in the field, full counts (%)

Obs Organization 1990-1994 1995-1999 2000-2004 2005-2009 2010-2014 All years
1 Sweden-Stockholm University 9.8 3.2 1.6 . . 2.5
2 Sweden-Lund University 7.3 1.6 . . . 1.4
3 Sweden-Swedish Museum of Natural History . 1.6 1.6 . . 0.7

Share of the total number of publications in the field, full counts (%)



Bar chart of publication_year

Number of publications among 10% most cited in field, full counts

Obs Organization 1990-1994 1995-1999 2000-2004 2005-2009 2010-2014 All years
1 Sweden-Stockholm University 0.0 0.2 0.0 . . 0.2
2 Sweden-Lund University 0.0 0.0 . . . 0.0
3 Sweden-Swedish Museum of Natural History . 0.0 0.0 . . 0.0

Number of publications among 10% most cited in field, full counts



Bar chart of publication_year

Share of publications among 10% most cited in field, fractionalized (%)

Obs Organization 1990-1994 1995-1999 2000-2004 2005-2009 2010-2014 All years
1 Sweden-Stockholm University 0.0 15.3 0.0 . . 5.6
2 Sweden-Lund University 0.0 0.0 . . . 0.0
3 Sweden-Swedish Museum of Natural History . 0.0 0.0 . . 0.0

Share of publications among 10% most cited in field, fractionalized (%)



Bar chart of publication_year

Field normalized citation rate (cf), fractionalized

Obs Organization 1990-1994 1995-1999 2000-2004 2005-2009 2010-2014 All years
1 Sweden-Stockholm University 0.32 1.64 0.11 . . 0.77
2 Sweden-Lund University 0.20 0.38 . . . 0.23
3 Sweden-Swedish Museum of Natural History . 0.14 0.10 . . 0.12

Field normalized citation rate (cf), fractionalized



Bar chart of publication_year