Lev3: MAGNESIUM ALLOY//MAGNESIUM ALLOYS//MICRO ARC OXIDATION - Statistics for Organizations

Statistics per Organization

Number of publications, full counts

Obs Organization 1990-1994 1995-1999 2000-2004 2005-2009 2010-2014 All years
1 Sweden-Royal Institute of Technology . . . . 1 1

Number of publications, full counts



Bar chart of publication_year

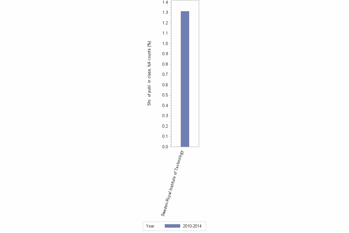
Share of the total number of publications in the field, full counts (%)

Obs Organization 1990-1994 1995-1999 2000-2004 2005-2009 2010-2014 All years
1 Sweden-Royal Institute of Technology . . . . 1.3 0.4

Share of the total number of publications in the field, full counts (%)



Bar chart of publication_year

Number of publications among 10% most cited in field, full counts

Obs Organization 1990-1994 1995-1999 2000-2004 2005-2009 2010-2014 All years
1 Sweden-Royal Institute of Technology . . . . 0.0 0.0

Number of publications among 10% most cited in field, full counts



Bar chart of publication_year

Share of publications among 10% most cited in field, fractionalized (%)

Obs Organization 1990-1994 1995-1999 2000-2004 2005-2009 2010-2014 All years
1 Sweden-Royal Institute of Technology . . . . 0.0 0.0

Share of publications among 10% most cited in field, fractionalized (%)



Bar chart of publication_year

Field normalized citation rate (cf), fractionalized

Obs Organization 1990-1994 1995-1999 2000-2004 2005-2009 2010-2014 All years
1 Sweden-Royal Institute of Technology . . . . 0.00 0.00

Field normalized citation rate (cf), fractionalized



Bar chart of publication_year