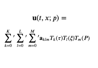
Fusion research groups Pedestal Physics Plasma Control Heating and Current Drive Plasma-Wall Interaction (PWI) Fusion Plasma Device Time-Spectral Modelling