Development of an activity duration-dependent dynamic scheduling model
This project extends previous work on the division’s collaboratively built scheduling model, Scaper, by making the model sensitive to activity duration. This work will improve the model’s power as a decision support tool, especially around policy questions impacted by the timing of people’s activities and travel.
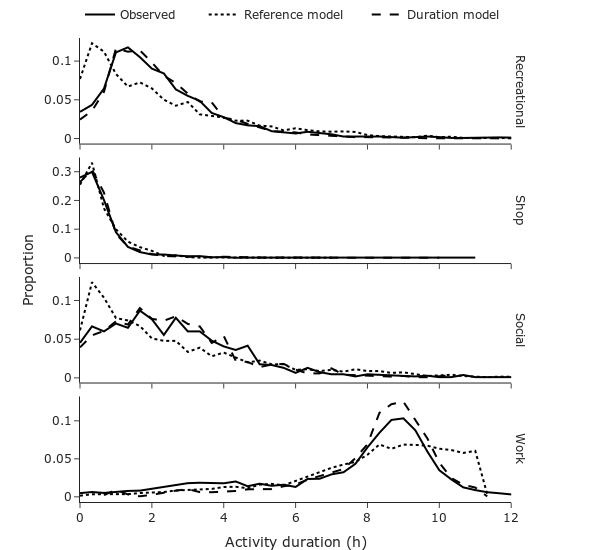
The Transport and Systems Analysis division has developed a dynamic scheduling model, Scaper, which tries to understand how people make decisions about daily activities and travel. Using training data from travel surveys, Scaper learns how much ‘utility’ individuals get from making different choices over the course of a day. It is a dynamic model, meaning that it also looks ahead to see how a choice will affect the rest of the day. It can be used to make behaviourally accurate predictions about how a population’s daily activities will change in response to a policy choice or infrastructure investment.
In this project, we extend Scaper to add sensitivity to activity duration by allowing the utility of continuing an activity to be dependent on how long it has been performed. Why does this make sense? Imagine a person who has been shopping for 10 minutes compared to one who has been shopping for two hours. It is reasonable to expect that the first person will get more value out of the next few minutes of shopping. By representing this difference in the model, we can more faithfully represent how people make decisions. Since many of today’s transportation policy decisions (e.g. congestion charges, travel demand management programs) affect the timing of peoples’ travel, this work will improve Scaper’s predictions of how these policies will impact activity and travel decisions.
