Development of an activity duration-dependent dynamic scheduling model
Detta projekt utökar tidigare arbete med divisionens gemensamt byggda schemaläggningsmodell, Scaper, genom att göra modellen känslig för aktivitetslängd. Detta arbete kommer att förbättra modellens kraft som beslutsstödsverktyg, särskilt kring policyfrågor som påverkas av tidpunkten för människors aktiviteter och resor.
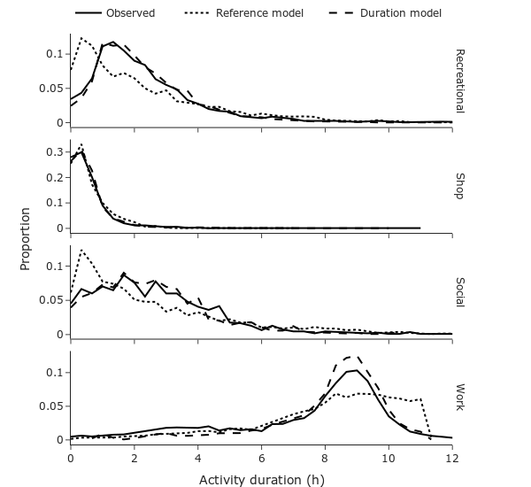
Division Transport and Systems Analysis har utvecklat en dynamisk schemaläggningsmodell, Scaper, som försöker förstå hur människor fattar beslut om dagliga aktiviteter och resor. Med hjälp av träningsdata från reseundersökningar lär Scaper sig hur mycket "nytta" individer får av att göra olika val under en dag. Det är en dynamisk modell, vilket innebär att den också blickar framåt för att se hur ett val kommer att påverka resten av dagen. Det kan användas för att göra beteendemässigt korrekta förutsägelser om hur en befolknings dagliga aktiviteter kommer att förändras som svar på ett politiskt val eller infrastrukturinvesteringar.
I det här projektet utökar vi Scaper för att lägga till känslighet för aktivitetens varaktighet genom att tillåta nyttan av att fortsätta en aktivitet vara beroende av hur länge den har utförts. Varför är detta vettigt? Föreställ dig en person som har handlat i 10 minuter jämfört med en som har handlat i två timmar. Det är rimligt att förvänta sig att den första personen kommer att få mer värde av de närmaste minuternas shopping. Genom att representera denna skillnad i modellen kan vi mer troget representera hur människor fattar beslut. Eftersom många av dagens transportpolitiska beslut (t.ex. trängselavgifter, program för hantering av reseefterfrågan) påverkar tidpunkten för människors resor, kommer detta arbete att förbättra Scapers förutsägelser om hur dessa policyer kommer att påverka aktivitets- och resebeslut.
