Nyhetsflöde
Logga in till din kurswebb
Du är inte inloggad på KTH så innehållet är inte anpassat efter dina val.
Har du frågor om kursen?
Om du är registrerad på en aktuell kursomgång, se kursrummet i Canvas. Du hittar rätt kursrum under "Kurser" i personliga menyn.
Är du inte registrerad, se Kurs-PM för SF1626 eller kontakta din studentexpedition, studievägledare, eller utbilningskansli.
I Nyhetsflödet hittar du uppdateringar på sidor, schema och inlägg från lärare (när de även behöver nå tidigare registrerade studenter).
Assistent Tam Vu korrigerade 3 augusti 2017
Extra övningstillfällen Hej,
Här kommer mer detaljerad information för de extra övningstillfällena inför Omtentamen i SF1626, den 17 augusti som examinatorn Henrik Shah Gholian tidigare nämnde i detta inlägg.
Datum: 7-11 augusti
Tid: 09:15-12:00
Plats: F2
Lärare: Tam Vu a.k.a. Tâm Vũ
Antalet platser är begränsat. Det är först till kvarn (på latin: prior tempore, potior iure) som gäller.
Vad ska vi gå igenom? Varje övnings innehåll i stora drag kommer kontinuerligt att läggas upp före den motsvarande övningen. Det kan vara smart att gå in här minst två gånger varje dag, en gång på morgonen och en på kvällen, och se vad som har ändrats.
En massa av gamla tentauppgifter från Del A och Del B kommer det att bli i alla fall. Utöver lösningar och tankesätt presenterar jag självklart populära knep och typiska fallgropar som historiskt ledde till poängavdrag.
Preliminär planering
7 aug: dubbelintegraler, trippelintegraler, klassiska enkelintegraler, variabelsubstitutioner, symmetriska integrationsområden (slides kommer senare)
8 aug: parametrisering av kurvor, linjeintegraler, Greens formel, konservativa vektorfält (slides kommer senare)
9 aug: parametrisering av ytor, ytintegraler, Gauss divergenssats, Stokes rotationssats (slides kommer senare)
(Fråga: Varför säger jag inte bara ”Gauss sats”?)
10 aug: gradienter och ett gäng tolkningar, kedjeregeln i flera variabler (slides kommer senare)
11 aug: lokala extrempunkter, optimering på kompakta respektive obegränsade områden (slides kommer senare)
Vad ska vi inte gå igenom? Vi kan naturligtvis inte ta upp allting. Det finns vissa saker som bör få den lägsta prioriteten. Några exempel:
- Simpla beräkningar baserade på okomplicerade definitioner eller räknelagar: determinant, gradient, divergens, rotation,…
- Väldigt triviala processer på gymnasienivå: räta linjers ekvation, förenkling av algebraiska uttryck, enkla derivator i en variabel,…
- Extremt ofta förekommande uttryck som måste memoreras, även om man inte har ett eidetiskt minne: polära koordinater, sfäriska (synonym: rymdpolära) koordinater, Taylorpolynom,… Uppgifter där Taylorpolynom förekommer måste jag självklart prata om, men jag behöver inte visa hur man tar fram de enkla Taylorpolynomen, förhoppningsvis.
Var dock inte rädd att ställa frågor. Även om jag inte går igenom något utförligt kan jag alltid visa var man kan läsa mer om det.
Vad är bra att fundera på före övningarna? - Repetera gärna de relevanta avsnitten. Jag har nämnt ett antal nyckelord där uppe.
- Varje övning varar i tre timmar, inklusive två kvartsraster. Ta med dig drycker, tilltugg och kanske till och med måltider så att du orkar länge. Undvik helst sådana demoraliserande sötsaker som depparkaka, biskvikelse, croissangst, tiramisär och hallongråta.
- Jag är mest känd för bland annat färgkodning när jag skriver på tavlan. Du kanske vill ha med dig ett dussin färgpennor. Tycker du att det är för många räcker det annars nog med fyra färger: en svart för vanliga texter, en röd för viktiga formler och understrykningar, en blå för saker som röd inte redan ansvarar för, samt en grön som symboliserar vacker natur och hoppet om framtiden.
Vi ses!
Tâm
¶ ¶ ¶ ¶ ¶ ¶ ¶
Assistent Tam Vu korrigerade 3 augusti 2017
Extra övningstillfällen Hej,
Här kommer mer detaljerad information för de extra övningstillfällena inför Omtentamen i SF1626, den 17 augusti som examinatorn Henrik Shah Gholian tidigare nämnde i detta inlägg.
Datum: 7-11 augusti
Tid: 09:15-12:00
Plats: F2
Lärare: Tam Vu a.k.a. Tâm Vũ
Antalet platser är begränsat. Det är först till kvarn (på latin: prior tempore, potior iure) som gäller.
Vad ska vi gå igenom? Varje övnings innehåll i stora drag kommer kontinuerligt att läggas upp före den motsvarande övningen. Det kan vara smart att gå in här minst två gånger varje dag, en gång på morgonen och en på kvällen, och se vad som har ändrats.
En massa av gamla tentauppgifter från Del A och Del B kommer det att bli i alla fall. Utöver lösningar och tankesätt presenterar jag självklart populära knep och typiska fallgropar som historiskt ledde till poängavdrag.
Preliminär planering
7 aug: dubbelintegraler, trippelintegraler, klassiska enkelintegraler, variabelsubstitutioner, symmetriska integrationsområden (slides kommer senare)
8 aug: parametrisering av kurvor, linjeintegraler, Greens formel, konservativa vektorfält (slides kommer senare)
9 aug: parametrisering av ytor, ytintegraler, Gauss divergenssats, Stokes rotationssats (slides kommer senare)
(Fråga: Varför säger jag inte bara ”Gauss sats”?)
10 aug: gradienter och ett gäng tolkningar, kedjeregeln i flera variabler (slides kommer senare)
11 aug: lokala extrempunkter, optimering på kompakta respektive obegränsade områden (slides kommer senare)
Vad ska vi inte gå igenom? Vi kan naturligtvis inte ta upp allting. Det finns vissa saker som bör få den lägsta prioriteten. Några exempel:
- Simpla beräkningar baserade på okomplicerade definitioner eller räknelagar: determinant, gradient, divergens, rotation,…
- Väldigt triviala processer på gymnasienivå: räta linjers ekvation, förenkling av algebraiska uttryck, enkla derivator i en variabel,…
- Extremt ofta förekommande uttryck som måste memoreras, även om man inte har ett eidetiskt minne: polära koordinater, sfäriska (synonym: rymdpolära) koordinater, Taylorpolynom,… Uppgifter där Taylorpolynom förekommer måste jag självklart prata om, men jag behöver inte visa hur man tar fram de enkla Taylorpolynomen, förhoppningsvis.
Var dock inte rädd att ställa frågor. Även om jag inte går igenom något utförligt kan jag alltid visa var man kan läsa mer om det.
Vad är bra att fundera på före övningarna? - Repetera gärna de relevanta avsnitten. Jag har nämnt ett antal nyckelord där uppe.
- Varje övning varar i tre timmar, inklusive två kvartsraster. Ta med dig drycker, tilltugg och kanske till och med måltider så att du orkar länge. Undvik helst sådana demoraliserande sötsaker som depparkaka, biskvikelse, croissangst, tiramisär och hallongråta.
- Jag är mest känd för bland annat färgkodning när jag skriver på tavlan. Du kanske vill ha med dig ett dussin färgpennor. Tycker du att det är för många räcker det annars nog med fyra färger: en svart för vanliga texter, en röd för viktiga formler och understrykningar, en blå för saker som röd inte redan ansvarar för, samt en grön som symboliserar vacker natur och hoppet om framtiden.
¶
Vi ses!
Tâm
Assistent Tam Vu korrigerade 4 augusti 2017
Extra övningstillfällen Hej,
Här kommer mer detaljerad information för de extra övningstillfällena inför Omtentamen i SF1626, den 17 augusti som examinatorn Henrik Shah Gholian tidigare nämnde i detta inlägg.
Datum: 7-11 augusti
Tid: 09:15-12:00
Plats: F2
Lärare: Tam Vu a.k.a. Tâm Vũ
Antalet platser är begränsat. Det är först till kvarn (på latin: prior tempore, potior iure) som gäller.
Vad ska vi gå igenom? Varje övnings innehåll i stora drag kommer kontinuerligt att läggas upp före den motsvarande övningen. Det kan vara smart att gå in här minst två gånger varje dag, en gång på morgonen och en på kvällen, och se vad som har ändrats.
En massa av gamla tentauppgifter från Del A och Del B kommer det att bli i alla fall. Utöver lösningar och tankesätt presenterar jag självklart populära knep och typiska fallgropar som historiskt ledde till poängavdrag.
Preliminär planering
7 aug: dubbelintegraler, trippelintegraler, klassiska enkelintegraler, variabelsubstitutioner, symmetriska integrationsområden (slides kommer senare)¶
Hämta slides här.¶
Anmärkning: PDF-filen visar i princip endast vilka uppgifter eller moment som ska tas upp. Mycket i matematik måste verkligen skrivas ner, för hand, för att det ska sitta bra.
8 aug: parametrisering av kurvor, linjeintegraler, Greens formel, konservativa vektorfält (slides kommer senare)
9 aug: parametrisering av ytor, ytintegraler, Gauss divergenssats, Stokes rotationssats (slides kommer senare)
(Fråga: Varför säger jag inte bara ”Gauss sats”?)
10 aug: gradienter och ett gäng tolkningar, kedjeregeln i flera variabler (slides kommer senare)
11 aug: lokala extrempunkter, optimering på kompakta respektive obegränsade områden (slides kommer senare)
Vad ska vi inte gå igenom? Vi kan naturligtvis inte ta upp allting. Det finns vissa saker som bör få den lägsta prioriteten. Några exempel:
- Simpla beräkningar baserade på okomplicerade definitioner eller räknelagar: determinant, gradient, divergens, rotation,…
- Väldigt triviala processer på gymnasienivå: räta linjers ekvation, förenkling av algebraiska uttryck, enkla derivator i en variabel,…
- Extremt ofta förekommande uttryck som måste memoreras, även om man inte har ett eidetiskt minne: polära koordinater, sfäriska (synonym: rymdpolära) koordinater, Taylorpolynom,… Uppgifter där Taylorpolynom förekommer måste jag självklart prata om, men jag behöver inte visa hur man tar fram de enkla Taylorpolynomen, förhoppningsvis.
Var dock inte rädd att ställa frågor. Även om jag inte går igenom något utförligt kan jag alltid visa var man kan läsa mer om det.
Vad är bra att fundera på före övningarna? - Repetera gärna de relevanta avsnitten. Jag har nämnt ett antal nyckelord där uppe.
- Varje övning varar i tre timmar, inklusive två kvartsraster. Ta med dig drycker, tilltugg och kanske till och med måltider så att du orkar länge. Undvik helst sådana demoraliserande sötsaker som depparkaka, biskvikelse, croissangst, tiramisär och hallongråta.
- Jag är mest känd för bland annat färgkodning när jag skriver på tavlan. Du kanske vill ha med dig ett dussin färgpennor. Tycker du att det är för många räcker det annars nog med fyra färger: en svart för vanliga texter, en röd för viktiga formler och understrykningar, en blå för saker som röd inte redan ansvarar för, samt en grön som symboliserar vacker natur och hoppet om framtiden.
Vi ses!
Tâm
Assistent Tam Vu korrigerade 4 augusti 2017
Extra övningstillfällen Hej,
Här kommer mer detaljerad information för de extra övningstillfällena inför Omtentamen i SF1626, den 17 augusti som examinatorn Henrik Shah Gholian tidigare nämnde i detta inlägg.
Datum: 7-11 augusti
Tid: 09:15-12:00
Plats: F2
Lärare: Tam Vu a.k.a. Tâm Vũ
Antalet platser är begränsat. Det är först till kvarn (på latin: prior tempore, potior iure) som gäller.
Vad ska vi gå igenom? Varje övnings innehåll i stora drag kommer kontinuerligt att läggas upp före den motsvarande övningen. Det kan vara smart att gå in här minst två gånger varje dag, en gång på morgonen och en på kvällen, och se vad som har ändrats.
En massa av gamla tentauppgifter från Del A och Del B kommer det att bli i alla fall. Utöver lösningar och tankesätt presenterar jag självklart populära knep och typiska fallgropar som historiskt ledde till poängavdrag.
Preliminär planering
7 aug: dubbelintegraler, trippelintegraler, klassiska enkelintegraler, variabelsubstitutioner, symmetriska integrationsområden
Hämta slides här.
Anmärkning: PDF-filen visar i princip endast vilka uppgifter eller moment som ska tas upp. Mycket i matematik måste verkligen skrivas ner, för hand, för att det ska sitta br, i syftet att övningsdeltagare i förväg ska kunna prova själva och att vi senare på övningen slipper skriva av uppgiftslydelserna.
8 aug: parametrisering av kurvor, linjeintegraler, Greens formel, konservativa vektorfält (slides kommer senare)
9 aug: parametrisering av ytor, ytintegraler, Gauss divergenssats, Stokes rotationssats (slides kommer senare)
(Fråga: Varför säger jag inte bara ”Gauss sats”?)
10 aug: gradienter och ett gäng tolkningar, kedjeregeln i flera variabler (slides kommer senare)
11 aug: lokala extrempunkter, optimering på kompakta respektive obegränsade områden (slides kommer senare)
Vad ska vi inte gå igenom? Vi kan naturligtvis inte ta upp allting. Det finns vissa saker som bör få den lägsta prioriteten. Några exempel:
- Simpla beräkningar baserade på okomplicerade definitioner eller räknelagar: determinant, gradient, divergens, rotation,…
- Väldigt triviala processer på gymnasienivå: räta linjers ekvation, förenkling av algebraiska uttryck, enkla derivator i en variabel,…
- Extremt ofta förekommande uttryck som måste memoreras, även om man inte har ett eidetiskt minne: polära koordinater, sfäriska (synonym: rymdpolära) koordinater, Taylorpolynom,… Uppgifter där Taylorpolynom förekommer måste jag självklart prata om, men jag behöver inte visa hur man tar fram de enkla Taylorpolynomen, förhoppningsvis.
Var dock inte rädd att ställa frågor. Även om jag inte går igenom något utförligt kan jag alltid visa var man kan läsa mer om det.
Vad är bra att fundera på före övningarna? - Repetera gärna de relevanta avsnitten. Jag har nämnt ett antal nyckelord där uppe.
- Varje övning varar i tre timmar, inklusive två kvartsraster. Ta med dig drycker, tilltugg och kanske till och med måltider så att du orkar länge. Undvik helst sådana demoraliserande sötsaker som depparkaka, biskvikelse, croissangst, tiramisär och hallongråta.
- Jag är mest känd för bland annat färgkodning när jag skriver på tavlan. Du kanske vill ha med dig ett dussin färgpennor. Tycker du att det är för många räcker det annars nog med fyra färger: en svart för vanliga texter, en röd för viktiga formler och understrykningar, en blå för saker som röd inte redan ansvarar för, samt en grön som symboliserar vacker natur och hoppet om framtiden.
Vi sesHappy Pride och vi ses nästa vecka!
Tâm
Assistent Tam Vu korrigerade 6 augusti 2017
Extra övningstillfällen Hej,
Här kommer mer detaljerad information för de extra övningstillfällena inför Omtentamen i SF1626, den 17 augusti som examinatorn Henrik Shah Gholian tidigare nämnde i detta inlägg.
Datum: 7-11 augusti
Tid: 09:15-12:00
Plats: F2
Lärare: Tam Vu a.k.a. Tâm Vũ
Antalet platser är begränsat. Det är först till kvarn (på latin: prior tempore, potior iure) som gäller.
Vad ska vi gå igenom? Varje övnings innehåll i stora drag kommer kontinuerligt att läggas upp före den motsvarande övningen. Det kan vara smart att gå in här minst två gånger varje dag, en gång på morgonen och en på kvällen, och se vad som har ändrats.
En massa av gamla tentauppgifter från Del A och Del B kommer det att bli i alla fall. Utöver lösningar och tankesätt presenterar jag självklart populära knep och typiska fallgropar som historiskt ledde till poängavdrag.
Preliminär planering
7 aug: dubbelintegraler, trippelintegraler, variabelsubstitutioner, symmetriska integrationsområden
Hämta slides här.
Anmärkning: PDF-filen visar i princip endast vilka uppgifter eller moment som ska tas upp, i syftet att övningsdeltagare i förväg ska kunna prova själva och att vi senare på övningen slipper skriva av uppgiftslydelserna.
- - - - - - - - - - - - - - - - ¶
8 aug: parametrisering av kurvor, linjeintegraler, Greens formel, konservativa vektorfält (slides kommer senare)
Hämta slides här.¶
- - - - - - - - - - - - - - - - ¶
9 aug: parametrisering av ytor, ytintegraler, Gauss divergenssats, Stokes rotationssats (slides kommer senare)
(Fråga: Varför säger jag inte bara ”Gauss sats”?)
- - - - - - - - - - - - - - - - ¶
10 aug: gradienter och ett gäng tolkningar, kedjeregeln i flera variabler (slides kommer senare)
- - - - - - - - - - - - - - - - ¶
11 aug: lokala extrempunkter, optimering på kompakta respektive obegränsade områden (slides kommer senare)
Vad ska vi inte gå igenom? Vi kan naturligtvis inte ta upp allting. Det finns vissa saker som bör få den lägsta prioriteten. Några exempel:
- Simpla beräkningar baserade på okomplicerade definitioner eller räknelagar: determinant, gradient, divergens, rotation,…
- Väldigt triviala processer på gymnasienivå: räta linjers ekvation, förenkling av algebraiska uttryck, enkla derivator i en variabel,…
- Extremt ofta förekommande uttryck som måste memoreras, även om man inte har ett eidetiskt minne: polära koordinater, sfäriska (synonym: rymdpolära) koordinater, Taylorpolynom,… Uppgifter där Taylorpolynom förekommer måste jag självklart prata om, men jag behöver inte visa hur man tar fram de enkla Taylorpolynomen, förhoppningsvis.
Var dock inte rädd att ställa frågor. Även om jag inte går igenom något utförligt kan jag alltid visa var man kan läsa mer om det.
Vad är bra att fundera på före övningarna? - Repetera gärna de relevanta avsnitten. Jag har nämnt ett antal nyckelord där uppe.
- Varje övning varar i tre timmar, inklusive två kvartsraster. Ta med dig drycker, tilltugg och kanske till och med måltider så att du orkar länge. Undvik helst sådana demoraliserande sötsaker som depparkaka, biskvikelse, croissangst, tiramisär och hallongråta.
- Jag är mest känd för bland annat färgkodning när jag skriver på tavlan. Du kanske vill ha med dig ett dussin färgpennor. Tycker du att det är för många räcker det annars nog med fyra färger: en svart för vanliga texter, en röd för viktiga formler och understrykningar, en blå för saker som röd inte redan ansvarar för, samt en grön som symboliserar vacker natur och hoppet om framtiden.
Happy Pride och vi ses nästa vecka!¶ /Tâm
Assistent Tam Vu korrigerade 8 augusti 2017
Extra övningstillfällen Hej,
Här kommer mer detaljerad information för de extra övningstillfällena inför Omtentamen i SF1626, den 17 augusti som examinatorn Henrik Shah Gholian tidigare nämnde i detta inlägg.
Datum: 7-11 augusti
Tid: 09:15-12:00
Plats: F2
Lärare: Tam Vu a.k.a. Tâm Vũ
Antalet platser är begränsat. Det är först till kvarn (på latin: prior tempore, potior iure) som gäller.
Vad ska vi gå igenom? Varje övnings innehåll i stora drag kommer kontinuerligt att läggas upp före den motsvarande övningen. Det kan vara smart att gå in här minst två gånger varje dag, en gång på morgonen och en på kvällen, och se vad som har ändrats.
En massa av gamla tentauppgifter från Del A och Del B kommer det att bli i alla fall. Utöver lösningar och tankesätt presenterar jag självklart populära knep och typiska fallgropar som historiskt ledde till poängavdrag.
Preliminär planering
7 aug: dubbelintegraler, trippelintegraler, variabelsubstitutioner, symmetriska integrationsområden
Hämta slides här.
Anmärkning: PDF-filen visar i princip endast vilka uppgifter eller moment som ska tas upp, i syftet att övningsdeltagare i förväg ska kunna prova själva och att vi senare på övningen slipper skriva av uppgiftslydelserna.
- - - - - - - - - - - - - - - -
8 aug: parametrisering av kurvor, linjeintegraler, Greens formel, konservativa vektorfält (slides kommer senare)
Hämta slides här.
- - - - - - - - - - - - - - - -
9 aug: parametrisering av ytor, ytflödesintegraler, Gauss divergenssats, Stokes rotationssats (slides kommer senare)
(Fråga: Varför säger jag inte bara ”Gauss sats”?)
Hämta slides här.¶
- - - - - - - - - - - - - - - -
10 aug: gradienter och ett gäng tolkningar, kedjeregeln i flera variabledet som är kvar från de tre första övningarna, eventuellt klassiska integraler från envariabelanalys, diverse typiska fallgropar, gradienter och ett gäng (lustiga) tolkningar (slides kommer senare)
- - - - - - - - - - - - - - - -
11 aug: lokala extrempunkter, optimering på kompakta respektive obegränsade områden (slides kommer senare)
Anmärkning: Eftersom optimeringsproblem normalt anses vara väldigt intrikata av de flesta kursdeltagarna kan vi med gott samvete använda hela övningen för att studera dem. ¶
¶
Vad ska vi inte gå igenom? Vi kan naturligtvis inte ta upp allting. Det finns vissa saker som bör få den lägsta prioriteten. Några exempel:
- Simpla beräkningar baserade på okomplicerade definitioner eller räknelagar: determinant, gradient, divergens, rotation,…
- Väldigt triviala processer på gymnasienivå: räta linjers ekvation, förenkling av algebraiska uttryck, enkla derivator i en variabel,…
- Extremt ofta förekommande uttryck som måste memoreras, även om man inte har ett eidetiskt minne: polära koordinater, sfäriska (synonym: rymdpolära) koordinater, Taylorpolynom,… Uppgifter där Taylorpolynom förekommer måste jag självklart prata om, men jag behöver inte visa hur man tar fram de enkla Taylorpolynomen, förhoppningsvis.
Var dock inte rädd att ställa frågor. Även om jag inte går igenom något utförligt kan jag alltid visa var man kan läsa mer om det.
Vad är bra att fundera på före övningarna? - Repetera gärna de relevanta avsnitten. Jag har nämnt ett antal nyckelord där uppe.
- Varje övning varar i tre timmar, inklusive två kvartsraster. Ta med dig drycker, tilltugg och kanske till och med måltider så att du orkar länge. Undvik helst sådana demoraliserande sötsaker som depparkaka, biskvikelse, croissangst, tiramisär och hallongråta.
- Jag är mest känd för bland annat färgkodning när jag skriver på tavlan. Du kanske vill ha med dig ett dussin färgpennor. Tycker du att det är för många räcker det annars nog med fyra färger: en svart för vanliga texter, en röd för viktiga formler och understrykningar, en blå för saker som röd inte redan ansvarar för, samt en grön som symboliserar vacker natur och hoppet om framtiden.
/Tâm
Assistent Tam Vu korrigerade 8 augusti 2017
Extra övningstillfällen Hej,
Här kommer mer detaljerad information för de extra övningstillfällena inför Omtentamen i SF1626, den 17 augusti som examinatorn Henrik Shah Gholian tidigare nämnde i detta inlägg.
Datum: 7-11 augusti
Tid: 09:15-12:00
Plats: F2
Lärare: Tam Vu a.k.a. Tâm Vũ
Antalet platser är begränsat. Det är först till kvarn (på latin: prior tempore, potior iure) som gäller.
Vad ska vi gå igenom? Varje övnings innehåll i stora drag kommer kontinuerligt att läggas upp före den motsvarande övningen. Det kan vara smart att gå in här minst två gånger varje dag, en gång på morgonen och en på kvällen, och se vad som har ändrats.
En massa av gamla tentauppgifter från Del A och Del B kommer det att bli i alla fall. Utöver lösningar och tankesätt presenterar jag självklart populära knep och typiska fallgropar som historiskt ledde till poängavdrag.
Preliminär planering
7 aug: dubbelintegraler, trippelintegraler, variabelsubstitutioner, symmetriska integrationsområden
Hämta slides här.
Anmärkning: PDF-filen visar i princip endast vilka uppgifter eller moment som ska tas upp, i syftet att övningsdeltagare i förväg ska kunna prova själva och att vi senare på övningen slipper skriva av uppgiftslydelserna.
- - - - - - - - - - - - - - - -
8 aug: parametrisering av kurvor, linjeintegraler, Greens formel, konservativa vektorfält
Hämta slides här.
- - - - - - - - - - - - - - - -
9 aug: parametrisering av ytor, flödesintegraler, Gauss divergenssats, Stokes rotationssats
(Fråga: Varför säger jag inte bara ”Gauss sats”?)
Hämta slides här.
- - - - - - - - - - - - - - - -
10 aug: det som är kvar från de tre första övningarna, eventuellt klassiska integraler från envariabelanalys, diverse typiska fallgropar, gradienter och ett gäng (lustiga) tolkningar (slides kommer senare)
- - - - - - - - - - - - - - - -
11 aug: optimering på kompakta respektive obegränsade områden (slides kommer senare)
Anmärkning: Eftersom optimeringsproblem normalt anses vara väldigt intrikata av de flesta kursdeltagarna kan vi med gott samvete använda hela övningen för att studera dem. Med "dem" menas optimeringsproblemen och inte kursdeltagarna.
Vad ska vi inte gå igenom? Vi kan naturligtvis inte ta upp allting. Det finns vissa saker som bör få den lägsta prioriteten. Några exempel:
- Simpla beräkningar baserade på okomplicerade definitioner eller räknelagar: determinant, gradient, divergens, rotation,…
- Väldigt triviala processer på gymnasienivå: räta linjers ekvation, förenkling av algebraiska uttryck, enkla derivator i en variabel,…
- Extremt ofta förekommande uttryck som måste memoreras, även om man inte har ett eidetiskt minne: polära koordinater, sfäriska (synonym: rymdpolära) koordinater, Taylorpolynom,… Uppgifter där Taylorpolynom förekommer måste jag självklart prata om, men jag behöver inte visa hur man tar fram de enkla Taylorpolynomen, förhoppningsvis.
Var dock inte rädd att ställa frågor. Även om jag inte går igenom något utförligt kan jag alltid visa var man kan läsa mer om det.
Vad är bra att fundera på före övningarna? - Repetera gärna de relevanta avsnitten. Jag har nämnt ett antal nyckelord där uppe.
- Varje övning varar i tre timmar, inklusive två kvartsraster. Ta med dig drycker, tilltugg och kanske till och med måltider så att du orkar länge. Undvik helst sådana demoraliserande sötsaker som depparkaka, biskvikelse, croissangst, tiramisär och hallongråta.
- Jag är mest känd för bland annat färgkodning när jag skriver på tavlan. Du kanske vill ha med dig ett dussin färgpennor. Tycker du att det är för många räcker det annars nog med fyra färger: en svart för vanliga texter, en röd för viktiga formler och understrykningar, en blå för saker som röd inte redan ansvarar för, samt en grön som symboliserar vacker natur och hoppet om framtiden.
/Tâm
Assistent Tam Vu korrigerade 9 augusti 2017
Extra övningstillfällen Hej,
Här kommer mer detaljerad information för de extra övningstillfällena inför Omtentamen i SF1626, den 17 augusti som examinatorn Henrik Shah Gholian tidigare nämnde i detta inlägg.
Datum: 7-11 augusti
Tid: 09:15-12:00
Plats: F2
Lärare: Tam Vu a.k.a. Tâm Vũ
Antalet platser är begränsat. Det är först till kvarn (på latin: prior tempore, potior iure) som gäller.
Vad ska vi gå igenom? Varje övnings innehåll i stora drag kommer kontinuerligt att läggas upp före den motsvarande övningen. Det kan vara smart att gå in här minst två gånger varje dag, en gång på morgonen och en på kvällen, och se vad som har ändrats.
En massa av gamla tentauppgifter från Del A och Del B kommer det att bli i alla fall. Utöver lösningar och tankesätt presenterar jag självklart populära knep och typiska fallgropar som historiskt ledde till poängavdrag.
Preliminär planering
7 aug: dubbelintegraler, trippelintegraler, variabelsubstitutioner, symmetriska integrationsområden
Hämta slides här.
Anmärkning: PDF-filen visar i princip endast vilka uppgifter eller moment som ska tas upp, i syftet att övningsdeltagare i förväg ska kunna prova själva och att vi senare på övningen slipper skriva av uppgiftslydelserna.
- - - - - - - - - - - - - - - -
8 aug: parametrisering av kurvor, linjeintegraler, Greens formel, konservativa vektorfält
Hämta slides här.
- - - - - - - - - - - - - - - -
9 aug: parametrisering av ytor, flödesintegraler, Gauss divergenssats, Stokes rotationssats
(Fråga: Varför säger jag inte bara ”Gauss sats”?)
Hämta slides här.
- - - - - - - - - - - - - - - -
10 aug: det som är kvar från de tre första övningarna, eventuellt klassiska integraler från envariabelanalys, diverse typiska fallgropaom dubbelintegraler, gradienter och ett gäng (lustiga) tolkningar (slides kommer senare)dess tolkningar¶
Hämta slides här.
- - - - - - - - - - - - - - - -
11 aug: optimering på kompakta respektive obegränsade områden (slides kommer senare)
Anmärkning: Eftersom optimeringsproblem normalt anses vara väldigt intrikata av de flesta kursdeltagarna kan vi med gott samvete använda hela övningen för att studera dem. Med "dem" menas optimeringsproblemen och inte kursdeltagarna.
Vad ska vi inte gå igenom? Vi kan naturligtvis inte ta upp allting. Det finns vissa saker som bör få den lägsta prioriteten. Några exempel:
- Simpla beräkningar baserade på okomplicerade definitioner eller räknelagar: determinant, gradient, divergens, rotation,…
- Väldigt triviala processer på gymnasienivå: räta linjers ekvation, förenkling av algebraiska uttryck, enkla derivator i en variabel,…
- Extremt ofta förekommande uttryck som måste memoreras, även om man inte har ett eidetiskt minne: polära koordinater, sfäriska (synonym: rymdpolära) koordinater, Taylorpolynom,… Uppgifter där Taylorpolynom förekommer måste jag självklart prata om, men jag behöver inte visa hur man tar fram de enkla Taylorpolynomen, förhoppningsvis.
Var dock inte rädd att ställa frågor. Även om jag inte går igenom något utförligt kan jag alltid visa var man kan läsa mer om det.
Vad är bra att fundera på före övningarna? - Repetera gärna de relevanta avsnitten. Jag har nämnt ett antal nyckelord där uppe.
- Varje övning varar i tre timmar, inklusive två kvartsraster. Ta med dig drycker, tilltugg och kanske till och med måltider så att du orkar länge. Undvik helst sådana demoraliserande sötsaker som depparkaka, biskvikelse, croissangst, tiramisär och hallongråta.
- Jag är mest känd för bland annat färgkodning när jag skriver på tavlan. Du kanske vill ha med dig ett dussin färgpennor. Tycker du att det är för många räcker det annars nog med fyra färger: en svart för vanliga texter, en röd för viktiga formler och understrykningar, en blå för saker som röd inte redan ansvarar för, samt en grön som symboliserar vacker natur och hoppet om framtiden.
/Tâm
Assistent Tam Vu korrigerade 10 augusti 2017
Extra övningstillfällen Hej,
Här kommer mer detaljerad information för de extra övningstillfällena inför Omtentamen i SF1626, den 17 augusti som examinatorn Henrik Shah Gholian tidigare nämnde i detta inlägg.
Datum: 7-11 augusti
Tid: 09:15-12:00
Plats: F2
Lärare: Tam Vu a.k.a. Tâm Vũ
Antalet platser är begränsat. Det är först till kvarn (på latin: prior tempore, potior iure) som gäller.
Vad ska vi gå igenom? Varje övnings innehåll i stora drag kommer kontinuerligt att läggas upp före den motsvarande övningen. Det kan vara smart att gå in här minst två gånger varje dag, en gång på morgonen och en på kvällen, och se vad som har ändrats.
En massa av gamla tentauppgifter från Del A och Del B kommer det att bli i alla fall. Utöver lösningar och tankesätt presenterar jag självklart populära knep och typiska fallgropar som historiskt ledde till poängavdrag.
Preliminär planering
7 aug: dubbelintegraler, trippelintegraler, variabelsubstitutioner, symmetriska integrationsområden
Hämta slides här.
Anmärkning: PDF-filen visar i princip endast vilka uppgifter eller moment som ska tas upp, i syftet att övningsdeltagare i förväg ska kunna prova själva och att vi senare på övningen slipper skriva av uppgiftslydelserna.
- - - - - - - - - - - - - - - -
8 aug: parametrisering av kurvor, linjeintegraler, Greens formel, konservativa vektorfält
Hämta slides här.
- - - - - - - - - - - - - - - -
9 aug: parametrisering av ytor, flödesintegraler, Gauss divergenssats, Stokes rotationssats
(Fråga: Varför säger jag inte bara ”Gauss sats”?)
Hämta slides här.
- - - - - - - - - - - - - - - -
10 aug: det som är kvar från de tre första övningarna, eventuellt klassiska integraler från envariabelanalys, diverse om dubbelintegraler, gradient och dess tolkningar
Hämta slides här.
- - - - - - - - - - - - - - - -
11 aug: optimering på kompakta respektive obegränsade områden (slides kommer senare)¶
Hämta slides här.
Anmärkning: Eftersom optimeringsproblem normalt anses vara väldigt intrikata av de flesta kursdeltagarna kan vi med gott samvete använda hela övningen för att studera dem. Med "dem" menas optimeringsproblemen och inte kursdeltagarna.
Vad ska vi inte gå igenom? Vi kan naturligtvis inte ta upp allting. Det finns vissa saker som bör få den lägsta prioriteten. Några exempel:
- Simpla beräkningar baserade på okomplicerade definitioner eller räknelagar: determinant, gradient, divergens, rotation,…
- Väldigt triviala processer på gymnasienivå: räta linjers ekvation, förenkling av algebraiska uttryck, enkla derivator i en variabel,…
- Extremt ofta förekommande uttryck som måste memoreras, även om man inte har ett eidetiskt minne: polära koordinater, sfäriska (synonym: rymdpolära) koordinater, Taylorpolynom,… Uppgifter där Taylorpolynom förekommer måste jag självklart prata om, men jag behöver inte visa hur man tar fram de enkla Taylorpolynomen, förhoppningsvis.
Var dock inte rädd att ställa frågor. Även om jag inte går igenom något utförligt kan jag alltid visa var man kan läsa mer om det.
Vad är bra att fundera på före övningarna? - Repetera gärna de relevanta avsnitten. Jag har nämnt ett antal nyckelord där uppe.
- Varje övning varar i tre timmar, inklusive två kvartsraster. Ta med dig drycker, tilltugg och kanske till och med måltider så att du orkar länge. Undvik helst sådana demoraliserande sötsaker som depparkaka, biskvikelse, croissangst, tiramisär och hallongråta.
- Jag är mest känd för bland annat färgkodning när jag skriver på tavlan. Du kanske vill ha med dig ett dussin färgpennor. Tycker du att det är för många räcker det annars nog med fyra färger: en svart för vanliga texter, en röd för viktiga formler och understrykningar, en blå för saker som röd inte redan ansvarar för, samt en grön som symboliserar vacker natur och hoppet om framtiden.
/Tâm
Hur lång tid tar det innan resultatet kommer upp på Ladok?
Ungefär när kommer kompletteringen ligga? pratar vi om 1 vecka eller 3? Ungefär vad för sorts uppgifter kan komma? Liknande A delen? HIttar inga exempel nånstans
Den kommer ligga om ungefär 2½ vecka. Ett mail kommer om någon dag eller två skickas ut till alla som fått Fx och där finns mer information om skrivningen.
Hej. Kommer min skrivna tentamen att läggas upp under skrivna tentor eller måste jag hämta ut den från expeditionen?
Tack på förhand.
Tentorna skannas och kommer inom kort upp under skrivna tentor.
Kommer resultaten att rapporteras in i Ladok snart också? :)
Ja
På tentamenregistrering finns tre likadana tentor att registrera sig till, varför? Vilken av dem ska man anmäla sig till? En eller alla?
Vi undersöker saken och återkommer med ett svar!
Av misstag har det blivit tre anmälningsformulär till tentan istället för ett. Det spelar ingen roll vilket formulär du använder för vi kommer slå ihop alla listor till en anmälningslista. Du behöver alltså inte anmäla dig på alla formulär utan det räcker med ett (t.ex. det första).
Varför ser anmälan annorlunda ut, ska det vara så? Nu menar jag inte antalet, utan fältet man trycker på för att anmäla sig blir rött då man tryckt på det till skillnad från förut, då det fortsatte vara grönt. Man vill ju att tentamensanmälan ska fungera/registreras och när den ser så annorlunda ut undrar man om det ska vara så eller något är fel?
Jag tittar på anmälningslistan och finns ditt namn med, så du är verkligen anmäld.
Din fråga om utseendet kan jag inte svara på, men jag har skickat vidare din fråga till de som har hand om tentaanmälningar och bett dem titta på problemet.
Hej Ida! Knappen för att anmäla sig är alltid grön, men när man har anmält sig får man en knapp så man kan avanmäla sig, och för att minska risken att folk trycker en gång till och avanmäler sig av misstag gjorde vi knappen för att avanmäla sig röd.
Hej! Har en fråga angående lösningar på vissa av uppgifterna på tidigare tentamen (ofta uppgift tre). Det står "se seminarieuppgifterna" och undrar var man kan hitta dem? //Olivia
Se denna sida.
På den sidan hittar jag bara seminarieuppgifterna men inte lösningar till dem, och därmed ingen lösning till uppgift 3 på tentan 2013-08-22. Var kan jag hitta lösningsförslag till den uppgiften?
Se lösningen till uppgift 3 på tentan 2011-10-20.
Hej! Finns det någon lösning till uppg. 3 tentamen 2013-05-27?
Se denna tråd.
Hej! Jag har en fråga på uppgift 6 2013-08-22 tentamen. Efter att jag beräknat ut Volymen och ska bestämma masscentrum till Zc så har jag problem med de rymdsfäriska gränserna, i facit står det att täta ska variera mellan 0 och pi/2, men det borde ju rimligtvis vara mellan 0 och pi eftersom att det är ett halvklot över xy-planet? Mycket konfunderad över detta och tacksam för svar.
Jag menar det går ju inte att variera täta mellan pi/2 och 0 när man beräknar Volymen för halvklotet (visar detta matematiskt istället för att bara anta att Volymen är (4piR^3)/3*(1/2) = (2piR^3)/3, varför ska man då göra det när man beräknar masscentrum för z?
Jag är givetvis införstådd med att det är ganska stor sannolikhet att jag tänker fel. :)
Kolla igen hur rymdpolära koordinater är definierade! Det är på 33 i kursboken, eller på sidan Sfäriska koordinater på Wikipedia (observera dock att namnen på vinklarna är omkastade!)
Jag kom på att jag tänker fel, rotationen gör ju att det endast behöver gå till pi/2. Sorry.
Tack, för tipset! Det var precis det jag behövde göra.
Jag har en ny fråga på fråga 5 från tentamen 2013-05-27 så blir y gränserna -1 <= y <= 1, jag undrar hur dessa fås fram? Jag trodde det gick att lösa fram ur y^2 till +- sqrt(1-x) men tydligen inte. Tacksam för svar.
Bobby:
Tror det är menat att man ska se att x är definierad i intervallet 0 <= x <= 1-y^2. Detta kräver att y ligger i intervallet -1 <= y <= 1. Om y ligger utanför detta intevall blir ju x < 0. Så har i alla fall jag tolkat uppgiften!
Aha, det har du ju rätt i, tack för inputen Hampus. Det uppskattas. :)
Vi är fyra pers som har försökt oss på uppgift 6 i tenta 2012-08-16. Vi provade Gauss' sats men fick divergensen till 0. Har vi räknat fel? Vi förstår facits lösning, men vill veta om det går att lösa med Gauss.
Se diskussion om det elektrostatiska fältet i kursboken: Exempel 4 sid 364, och Exempel 8 sid 372!
Informera gärna när lösningsförslagen till dagens tenta är uppe :)
+1 på Max
+1 på dig kasper <3
+ 2 på båda er!
När och var kommer lösningarna upp till dagens tenta? :)
När kommer man kunna hämta ut sin tenta?
Hej, jag är lite nyfiken på facit eller lösningsförslag till kompletteringstentan som gick 11e april nu i år om det finns nån?
Vi lägger inte upp lösningsförslag till kompletteringstentor. Du bör nu kunna se resultatet på din resultatsida, och snart ska de vara scannade.
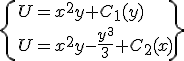
Okej, jag var mest nyfiken på varför ett av mina svar inte stämde, hade svarat att potentialen U= x+y^2 * x^3 + C , där C är en konstant, men när jag använder U för att beräkna kurvintegralen så får jag ändå rätt för att beräkna den som U (b)-U (a)
Troligen är dom ute efter en godtycklig funktion h(x) eller h(y) istället för C.
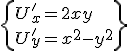
Hej, ang. fråga 5 från tentamen 2013-01-10: Varför hittas determinanten till integrationselementet på ett annorlunda sätt än vanligt? Att det räknas d(u,v)/d(x,y) istället för d(x,y)/d(u,v) och sedan görs en reciprok på detta.. För gör man "som vanligt" fås inte 1/5dudv som det står i lösningen, utan bara 1*dudv.
Har inte sett det såhär förut men ni kanske kan hänvisa till nån sida i boken eller så?
Hej,
Vad lösningen utnyttjar är att om avbildningen (x,y) ↦ (u,v) har funktionalmatrisen A så har den inversa avbildningen (u,v) ↦ (x,y) funktionalmatrisen A-1 (i motsvarande punkt), eller alternativt uttryckt
$$\quad\dfrac{\partial (x,y)}{\partial (u,v)} = \biggl(\dfrac{\partial (u,v)}{\partial (x,y)}\biggr)^{-1}$$
Därför kommer vi determinantreglerna ha att
$$\quad\det\dfrac{\partial (x,y)}{\partial (u,v)} = \det\biggl(\dfrac{\partial (u,v)}{\partial (x,y)}\biggr)^{-1} = \dfrac{1}{\vphantom{\Biggl(}\det\dfrac{\partial (u,v)}{\partial (x,y)}}.$$
Detta sätt att räkna ut funktionaldeterminanten genom att räkna ut "fel" determinant och invertera använder man ofta när variabelbytet är givet på formen u = u(x,y) och v = v(x,y) istället för på formen x = x(u,v) och y = y(u,v).
I uppgift 5 på tentan så är variabelbytet linjärt så det är inte så mycket extra arbete att verkligen bestämma x = x(u,v) och y = y(u,v)
$$\quad \left\{\begin{aligned}u &= x-3y\\ v &= x+2y\end{aligned}\right.\qquad\Leftrightarrow\qquad\left\{\begin{aligned}x &= \tfrac{1}{5}(2u+3v)\\ y&=\tfrac{1}{5}(-u+v)\end{aligned}\right.$$
och då är
$$\quad\det\dfrac{\partial (x,y)}{\partial (u,v)} = \det\begin{pmatrix}x'_u&x'_v\\[3pt] y'_u&y'_v\end{pmatrix} = \det\begin{pmatrix}\phantom{-}\tfrac{2}{5}&\tfrac{3}{5}\ \\[3pt] -\tfrac{1}{5}&\tfrac{1}{5}\end{pmatrix} = \tfrac{2}{5}\cdot\tfrac{1}{5}-\tfrac{3}{5}\cdot\bigl(-\tfrac{1}{5}\bigr) = \tfrac{1}{5}.$$
Därmed är
$$\quad dx\,dy = \biggl|\det\dfrac{\partial (x,y)}{\partial (u,v)}\biggr|\,du\,dv = \tfrac{1}{5}\,du\,dv.$$
Hej, jag undrar om jag som är registrerad till omtentamen den 26:e Maj ännu kan avanmäla mig och behålla mina bonuspoäng till Augusti istället?
Ja.
Hej
Vad gäller lokala undersökningar får man använda
$$f''_{xx}(a,b)\cdot f''_{yy}(a,b)-f''_{xy}(a,b)^{2}$$
som är en enklare variant av den kvadratiska formen. Får jobbet gjort bra mycket snabbare än \(Q(h,k)\). Är den för bekväm eller varför nämns den öht inte i kursen?
Tenta 2013-01-10 igen..fråga 8. Varför antas det att punkterna (+-1,+-2) ligger på ellipsen? Är det nåt man kan läsa ur rektangelns koordinater (känner inte igen sättet att skriva på, med hakparentes).
Hej Amadou,
Det handlar inte om att lösa uppgiften så snabbt som möjligt. Det är inte därför vi vill att du löser uppgifter. När du löser en uppgift så tycker jag att du ska använda en metod som gör att du verkligen förstår varför du får fram det svar du får, istället för att bara använda en färdigt formel som du lärt dig utantill och egentligen inte förstår något av.
Många gånger är det bättre för ens förståelse att ta flera steg tillbaka och härleda resultat. Det tar visserligen längre tid i början, men det är tid som man tjänar igen senare och gör att man enklare kan gå vidare till saker som bygger på detta. Det är först när man verkligen förstått en sak som man kan börja med att tänka på att göra saker på ett snabbare sätt.
I ditt exempel skulle jag vilja gå tillbaka och utgå från Taylors formel. Säg att du har den stationära punkten (x,y) = (1,1) till funktionen f(x,y) = x³ + y³ - 3xy och vill undersöka om punkten är ett lokalt max, min eller ingetdera. Då börjar vi med att Taylorutveckla funktionen kring (x,y) = (1,1) eftersom Taylors formel talar om hur funktionen ser ut lokalt kring den punkten,
$$\begin{aligned} f(1+h,1+k) &= f(1,1) + \tfrac{1}{2}\bigl[f''_{xx}(1,1)h^2+2f''_{xy}(1,1)hk + f''_ {yy}(1,1)k^2\bigr] + \text{restterm}\\ &=-1 + \tfrac{1}{2}\bigl[6h^2-6hk+6k^2\bigr] + \text{restterm}\\ &= -1 + 3(h^2-hk+k^2)+\text{restterm.}\end{aligned}$$
Detta säger oss att i punkter (x,y) = (1+h,1+k), där h och k är små, så har funktionen väsentligen utseendet f(1+h,1+k) ≈ -1 + 3(h²-hk+k²), dvs de dominerande termerna är 3(h²-hk+k²). Vi skriver nu om dessa termer med kvadratkomplettering till
$$\quad 3(h^2-hk+k^2) = 3\bigl((h-\tfrac{1}{2}k)^2-(\tfrac{1}{2}k)^2+k^2\bigr) = 3\bigl((h-\tfrac{1}{2}k)^2+\tfrac{3}{4}k^2\bigr).$$
Nu ser vi de dominerande termerna är positiva när (h,k) ≠ (0,0). Detta betyder att så fort (x,y) = (1+h,1+k) avviker från (1,1) så kommer funktionsvärdet f(1+h,1+k) att få ett positivt bidrag från de dominerande termerna och därmed vara större än f(1,1). Funktionen måste alltså ha en lokal minimipunkt i (x,y) = (1,1).
Jämför ovanstående resonemang med harangen "Eftersom \(f''_{xx}(1,1)=6>0\) och \(f''_{xx}(1,1)f''_{yy}(1,1)-(f''_{xy}(1,1))^2 = 6\cdot 6-(-3)^2 = 27 > 0\) är punkten (x,y) = (1,1) en lokal minimipunkt". Detta är ingen förklaring av varför det är en lokal minipunkt utan bara en utantill-kunskap (och vad gör du om du glömt bort om det ska vara > 0 eller < 0?).
Din minnesregel (som också kallas för abc-testet) fungerar dessutom bara när du har en funktion av två variabler. Metoden med att Taylorutveckla och undersöka den kvadratiska formen med kvadratkomplettering fungerar däremot även för funktioner av tre, fyra, ... variabler.
Hej
Jo jag vet att det är "dum"-alternativet till den kvadratiska formen (kanske därför amerikansk litteratur flitigt använder den hehe). Naturligtvis måste man förstå vad man gör jag undrade bara då den påminde mig om andraderivatatestet i envariabelanalys, ett enklare test än teckenstudium.
Hej Hermina,
Skrivsättet [-1,1]×[-2,2] betyder -1 ≤ x ≤ 1, -2 ≤ y ≤ 2 och rektangelns hörnpunkter är därför (±1,±2), så vad som sägs är att ellipsen måste gå genom rektangelns hörnpunkten.
Det går att komma fram till detta genom att först konstatera att ellipsen är spegelsymmetrisk i både x- och y-axeln så om en hörnpunkt ligger på ellipsen, t.ex. (1,2), så kommer alla fyra hörnpunkter automatiskt ligga på ellipsen. Frågan kan därför kokas ned till: Varför ligger hörnpunkten (1,2) på ellipsen?
Jo, antag att (1,2) inte ligger på ellipsen. Då ligger ellipsen utanför (1,2) (eftersom ellipsen ska ju innehålla hela rektangeln). I denna situation går det att minska på en av ellipsens halvaxlar så att den fortfarande innehåller hela rektangeln men har mindre area. Det går att minska halvaxeln tills ellipsen slår i hörnpunkten (1,2). Se figuren.

Man kan alltså utgå från att den sökta ellipsen (som har minst area) är en ellips som innehåller rektangelns hörnpunkter.
Tommy Ekola redigerade 26 maj 2014
Kursen avslutas med en skriftlig tentamen. Skrivtiden för tentamen är 5 timmar. Den som kommer mer än 45 minuter för sent till tentamen får inte delta. Alla skrivande ska kunna visa upp giltig fotolegitimation.
Vid all examination tillämpas KTH:s regler för tentamensskrivningar som finns att läsa i KTH:s regelverk. Alla som deltar i examinationen är skyldiga att sätta sig in i regelverket.
Tentamen består av nio uppgifter som vardera ger maximalt fyra poäng. De tre första uppgifterna utgör del A av tentamen, och dina bonuspoäng läggs till del A. Se sidan för bonuspoäng (under flik Seminarier) för detaljer. De tre följande uppgifterna utgör del B och de tre sista uppgifterna del C.
Betygsgränserna vid tentamen ges av
BetygABCDEFx Total poäng 27 24 21 18 16 15 Varav från del C 6 3 Bedömningskriterier Följande bedömningskriterier används vid tentamina, samt som återkoppling vid seminarierna:
För full poäng på en uppgift krävs att lösningen är väl presenterad och lätt att följa. Det innebär speciellt att införda beteckningar definieras, att den logiska strukturen tydligt beskrivs i ord eller symboler och att resonemangen är väl motiverade och tydligt förklarade. Lösningar som allvarligt brister i dessa avseenden bedöms med högst två poäng.
Mindre räknefel ger i allmänhet inte avdrag om de inte ändrar uppgiftens karaktär eller leder till orimligheter som borde ha upptäckts.
Anmälan till tentamen Anmälan till tentamen sker via Mina sidor. Om du har problem att få upp kursen via Mina sidor bör du kontakta kurssekreteraren för att kontrollera att du blivit registrerad på kursen.
* Anmälan till tentamen 26 maj är öppen från den 14 april, till söndagen den 4 maj kl 24.00.
Om du redan är godkänd men vill tentera upp ditt betyg (s.k. plussning) så kan du inte anmäla dig via "Mina sidor" utan ska istället anmäla dig via en särskild blankett på matematiks studentexpedition.
Placering Placeringen inför tentamen meddelas via epost till alla som anmält sig i tid. Den kommer även att finnas på din resultatsida.
Datum Tentamenstillfällen finns i slutet av varje period. Ordinarie tentamen för vissa program är omtentamen för andra.
* Måndagen 17 mars, 2014, kl 08.00-13.00
* Måndagen 26 maj, 2014, kl 14.00-19.00
* Torsdagen 21 augusti, 2014, kl 14.00-19.00
Kompletteringstentamen Vid betyget Fx ges en möjlighet till komplettering till godkänt betyg vid en kompletteringstentamen. Denna har en skrivtid på 90 minuter.
Tillåtna hjälpmedel Vid tentamen är inga hjälpmedel tillåtna.
Tidigare tentamina
* Tentamen 2014-05-26 med Lösningsförslag
* Tentamen 2014-03-17 med Lösningsförslag och statistik
* Tentamen 2013-08-22 med Lösningsförslag och statistik
* Tentamen 2013-05-27 med Lösningsförslag och statistik
* Tentamen 2013-03-12 med Lösningsförslag och statistik
* Tentamen 2013-01-10 med Lösningsförslag och statistik
* Tentamen 2012-10-19 med Lösningsförslag och statistik
* Tentamen 2012-08-16 med Lösningsförslag och statistik
* Tentamen 2012-06-04 med Lösningsförslag och statistik
* Tentamen 2012-03-13 med Lösningsförslag och statistik
* Tentamen 2011-10-20 med Lösningsförslag och statistik
* Se även extentor
Tack Tommy för svaret - hade inte ens tänkt tanken att klamrarna var "villkorsklamrar" :-)
Tommy Ekola redigerade 28 maj 2014
Kursen avslutas med en skriftlig tentamen. Skrivtiden för tentamen är 5 timmar. Den som kommer mer än 45 minuter för sent till tentamen får inte delta. Alla skrivande ska kunna visa upp giltig fotolegitimation.
Vid all examination tillämpas KTH:s regler för tentamensskrivningar som finns att läsa i KTH:s regelverk. Alla som deltar i examinationen är skyldiga att sätta sig in i regelverket.
Tentamen består av nio uppgifter som vardera ger maximalt fyra poäng. De tre första uppgifterna utgör del A av tentamen, och dina bonuspoäng läggs till del A. Se sidan för bonuspoäng (under flik Seminarier) för detaljer. De tre följande uppgifterna utgör del B och de tre sista uppgifterna del C.
Betygsgränserna vid tentamen ges av
BetygABCDEFx Total poäng 27 24 21 18 16 15 Varav från del C 6 3 Bedömningskriterier Följande bedömningskriterier används vid tentamina, samt som återkoppling vid seminarierna:
För full poäng på en uppgift krävs att lösningen är väl presenterad och lätt att följa. Det innebär speciellt att införda beteckningar definieras, att den logiska strukturen tydligt beskrivs i ord eller symboler och att resonemangen är väl motiverade och tydligt förklarade. Lösningar som allvarligt brister i dessa avseenden bedöms med högst två poäng.
Mindre räknefel ger i allmänhet inte avdrag om de inte ändrar uppgiftens karaktär eller leder till orimligheter som borde ha upptäckts.
Anmälan till tentamen Anmälan till tentamen sker via Mina sidor. Om du har problem att få upp kursen via Mina sidor bör du kontakta kurssekreteraren för att kontrollera att du blivit registrerad på kursen.
* Anmälan till tentamen 26 maj är öppen från den 14 april, till söndagen den 4 maj kl 24.00.
Om du redan är godkänd men vill tentera upp ditt betyg (s.k. plussning) så kan du inte anmäla dig via "Mina sidor" utan ska istället anmäla dig via en särskild blankett på matematiks studentexpedition.
Placering Placeringen inför tentamen meddelas via epost till alla som anmält sig i tid. Den kommer även att finnas på din resultatsida.
Datum Tentamenstillfällen finns i slutet av varje period. Ordinarie tentamen för vissa program är omtentamen för andra.
* Måndagen 17 mars, 2014, kl 08.00-13.00
* Måndagen 26 maj, 2014, kl 14.00-19.00
* Torsdagen 21 augusti, 2014, kl 14.00-19.00
Kompletteringstentamen Vid betyget Fx ges en möjlighet till komplettering till godkänt betyg vid en kompletteringstentamen. Denna har en skrivtid på 90 minuter.
Tillåtna hjälpmedel Vid tentamen är inga hjälpmedel tillåtna.
Tidigare tentamina
* Tentamen 2014-05-26 med Lösningsförslag och statistik
* Tentamen 2014-03-17 med Lösningsförslag och statistik
* Tentamen 2013-08-22 med Lösningsförslag och statistik
* Tentamen 2013-05-27 med Lösningsförslag och statistik
* Tentamen 2013-03-12 med Lösningsförslag och statistik
* Tentamen 2013-01-10 med Lösningsförslag och statistik
* Tentamen 2012-10-19 med Lösningsförslag och statistik
* Tentamen 2012-08-16 med Lösningsförslag och statistik
* Tentamen 2012-06-04 med Lösningsförslag och statistik
* Tentamen 2012-03-13 med Lösningsförslag och statistik
* Tentamen 2011-10-20 med Lösningsförslag och statistik
* Se även extentor
Hejsan Tommy jag undrar lite angående tentan bedömningskriterierna ovan vad anser ni är ett mindre räknefel? :)
Hej,
Det är förstås en omöjlig fråga att besvara i allmänhet. Den meningen som står i texten fångar nog trots allt andemeningen på ett bra sätt om vad vi anser vara ett mindre räknefel.
Hej, får bonuspoäng tas med till plussning?
Ja, bonuspoängen gäller även vid plussning.
Vem gör tentan den 21 augusti?
Examinator är Mattias Dahl.
Se denna tråd.
Hej!
Då elevexpeditionen har sommarstängt undrar jag hur man går tillväga för att anmäla sig för att plussa flervarren vid augustitentan (man kan ju inte anmäla sig på nätet då).
Tacksam för svar! :)
Hej, skicka ett mail till mig (tek@kth.se) så lägger jag in din ansökan nästa gång jag är på KTH.
Tommy Ekola redigerade 21 augusti 2014
Kursen avslutas med en skriftlig tentamen. Skrivtiden för tentamen är 5 timmar. Den som kommer mer än 45 minuter för sent till tentamen får inte delta. Alla skrivande ska kunna visa upp giltig fotolegitimation.
Vid all examination tillämpas KTH:s regler för tentamensskrivningar som finns att läsa i KTH:s regelverk. Alla som deltar i examinationen är skyldiga att sätta sig in i regelverket.
Tentamen består av nio uppgifter som vardera ger maximalt fyra poäng. De tre första uppgifterna utgör del A av tentamen, och dina bonuspoäng läggs till del A. Se sidan för bonuspoäng (under flik Seminarier) för detaljer. De tre följande uppgifterna utgör del B och de tre sista uppgifterna del C.
Betygsgränserna vid tentamen ges av
BetygABCDEFx Total poäng 27 24 21 18 16 15 Varav från del C 6 3 Bedömningskriterier Följande bedömningskriterier används vid tentamina, samt som återkoppling vid seminarierna:
För full poäng på en uppgift krävs att lösningen är väl presenterad och lätt att följa. Det innebär speciellt att införda beteckningar definieras, att den logiska strukturen tydligt beskrivs i ord eller symboler och att resonemangen är väl motiverade och tydligt förklarade. Lösningar som allvarligt brister i dessa avseenden bedöms med högst två poäng.
Mindre räknefel ger i allmänhet inte avdrag om de inte ändrar uppgiftens karaktär eller leder till orimligheter som borde ha upptäckts.
Anmälan till tentamen Anmälan till tentamen sker via Mina sidor. Om du har problem att få upp kursen via Mina sidor bör du kontakta kurssekreteraren för att kontrollera att du blivit registrerad på kursen.
* Anmälan till tentamen 21 augusti är öppen från den 1 juli, till söndagen den 10 augusti kl 24.00.
Om du redan är godkänd men vill tentera upp ditt betyg (s.k. plussning) så kan du fram till sista anmälningsdagen anmäla dig genom att skicka ett epost-meddelandet till elevexp@math.kth.se där du bifogar ditt namn, personnummer, kth-epost, program, kurskod och tentamensdatum.
Placering Placeringen inför tentamen meddelas via epost till alla som anmält sig i tid. Den kommer även att finnas på din resultatsida.
Datum Tentamenstillfällen finns i slutet av varje period. Ordinarie tentamen för vissa program är omtentamen för andra.
* Måndagen 17 mars, 2014, kl 08.00-13.00
* Måndagen 26 maj, 2014, kl 14.00-19.00
* Torsdagen 21 augusti, 2014, kl 14.00-19.00
Kompletteringstentamen Vid betyget Fx ges en möjlighet till komplettering till godkänt betyg vid en kompletteringstentamen. Denna har en skrivtid på 90 minuter.
Tillåtna hjälpmedel Vid tentamen är inga hjälpmedel tillåtna.
Tidigare tentamina
* Tentamen 2014-08-21 med Lösningsförslag
* Tentamen 2014-05-26 med Lösningsförslag och statistik
* Tentamen 2014-03-17 med Lösningsförslag och statistik
* Tentamen 2013-08-22 med Lösningsförslag och statistik
* Tentamen 2013-05-27 med Lösningsförslag och statistik
* Tentamen 2013-03-12 med Lösningsförslag och statistik
* Tentamen 2013-01-10 med Lösningsförslag och statistik
* Tentamen 2012-10-19 med Lösningsförslag och statistik
* Tentamen 2012-08-16 med Lösningsförslag och statistik
* Tentamen 2012-06-04 med Lösningsförslag och statistik
* Tentamen 2012-03-13 med Lösningsförslag och statistik
* Tentamen 2011-10-20 med Lösningsförslag och statistik
* Se även extentor
Här fanns en lite rörig och missvisande diskussion om seminarieuppgifterna. För att inte skapa onödig förvirring så har jag dolt den.
All information om seminarieuppgifterna finns på sidan Allmänt om seminarierna.
Seminarieuppgifterna kommer från boken och finns i fliken kursinnehåll.
Övningsboken alltså.
vart kan man hitta semenarie uppgifter?
Kan någon förklara om gruppindelning? Jag vet inte om jag tillhör nån grupp eller inte och vart kan man hittar detta? Och även seminarie upgifterna?!
MVH
Om du går in på din resultatsida så hittar du information om i vilken seminariegrupp du tillhör. Seminarieuppgifterna hittar du under kursinnehåll och allmän information om seminarierna under allmänt om seminarierna.
Tack Tommy!
MVH
Hej, en fråga inför omtentan... Hör bonuspoängen till enbart del A på tentan?
Mvh Nadja
Ja, dina bonuspoäng adderas till den poängsumma du får på del A. Du kan dock maximalt få 12 poäng på del A.
Hur får man redapå vilken seminarie grupp man tillhör ?
Nyss skickade vi ut epost-meddelanden till alla med information om seminariegruppen. Den informationen finns också under länken "Seminariegrupper" på din kursomgångssida (se högerspalten i den ruta som gäller för ditt program).
Var hittar jag lösningarna till seminarieuppgifterna? Många tentor hänvisar till lösningarna till seminarieuppgifterna.
Tyvärr finns inga lösningar, men ställ gärna en fråga om du har problem med något av problemen.
Hej!
Skulle vilja veta svaret till uppgift e från seminarium 4? :)
Tack så mycket på förhand!
Mvh,
Yuwei
Ingen av uppgifterna på seminarium 4 har en e-uppgift. Vilken uppgift menar du egentligen?
Oj, fel - jag menade uppgift 3 :)
Se tentamen 2011-10-20 uppgift 3.
Kontrollskrivningar finns inte, men vissa seminarier är som kontrollskrivningar, läs under Allmänt om seminarierna.
Fråga: om ordinarie tentamen gick i Mars, 2014, räknas bonuspoängen på första omtentamen i Augusti 2014?
Bonuspoängen för detta läsår gäller även i augustiperioden, men det är sista tentatillfället de gäller.
Hej Tommy!
Jag anmälde mig till tentan i tid men har ej fått något mail om salsplacering för imorgon?
MVH
Johannes Törnqvist
Hej,
Du är inte anmäld till tentan, så för dig gäller reservplats/avanmäld plats.
Haha va? Jaha ok...
Ang. de lediga platserna från avanmälningar: lägger man beslag på dem här på hemsidan, alltså att man "reserverar" en sådan plats?
Och om det inte finns platser lediga, var väntar man de 45 minuterna? Finns det något "kösystem" för de platser som dyker upp efter 45 minuter?
Jag kommer lägga ut ett inlägg snart med en lista över avanmälda platser. Där kommer det också stå hur du går tillväga för att få en sådan plats.
Om du tvingas vänta 45 min på en plats så gör du det utanför tentasalen. Prata med tentavakten i början av tentan.
Okej, men vilken tentasal ska jag välja då? Sanorlikheten är ju inte så stor i varje enskild sal.
Det är relativt många avanmälda platser så du behöver nog inte gå runt till så många salar förrän du hittar en sal där det är färre väntande än antalet avanmälda platser.
Finns det inga seminarieuppgifter för Kapitel 3 som är rekommenderade för skrivningen? Tack på förhand!
Hur vet man vilken utav de tre tentorna som finns uppe man ska anmäla sig till? Ingen sådan specifik information har väl gått ut?
Av misstag har det blivit tre anmälningsformulär till tentan istället för ett. Det spelar ingen roll vilket formulär du använder för vi kommer slå ihop alla listor till en anmälningslista. Du behöver alltså inte anmäla dig på alla formulär utan det räcker med ett (t.ex. det första).
Tommy: Den kursplanering som vi fick ut i samband med kursstart skiljer sig lite från denna när det gäller vilka seminarieuppgifter man ska göra till olika seminarier. Bl.a står det i vår kursplan att uppgift 9.2 ska göras till seminarie 5 medan här står det att den ska göras till seminarie 6. Vad är det som gäller?, d.v.s. vilka uppgifter är till vilka seminarier?
Kursomgången för CDEPR och CMATD har de två sista seminarierna omkastade, så för oss gäller att seminarium 5 handlar om kurvintegraler och seminarium 6 om area- och trippelintegraler.
Hur är det med upg 8.15? Den är på weben markerad som sem.6 vilket då borde bli omkastat till sem.5? men pappren från föreläsningarna är den inte med på sem 5?
Den är lagd under seminarium 6 eftersom vi går igenom areaintegraler samma dag som seminarium 5 går.
Hej, jag har en fråga. Jag läser om kursen och även om jag läser kursen med en omgång exempelvis CMETE1 så får jag bara gå på de här seminarierna? Och inte CMETE1s seminarietillfälle?
Jag antar det, annars skulle de ju inte skapa speciella seminarietillfällen för omregistrerade. Det var så på kursen sf1624 när jag läste den i höstas i alla fall.
Ok, förr har man alltid varit med på samma seminarier som den omgång man läste med nämligen...
Hur fungerar det med seminarieuppgifterna då man har olika upplagor av övningsboken?
Det är senaste upplagan som gäller. Om du har en äldre upplaga får du jämföra med en kompis.
Vänliga hälsningar, Mattias Dahl
Hej!
Det kanske skulle vara bra om det sattes in en extra sal och en extra assistent med tanke på hur många det var som kom på seminariumet. Det var en omöjlighet att få plats om man hade föreläsning i kursen 15-17 och sen seminarium 17-19. Det var nämligen fullt i alla salar redan 16.30 vilket skapar en minst sagt ohållbar situation för de flesta av oss som måste läsa kursen igen.
Mvh Bobby
Vi försöker ordna fler seminariesalar om det går. Information kommer!
Toppen! Och tack, för snabbt svar. :)
Nu finns en extra grupp, se Grupp 4 här ovanför!
Jag missade seminarie ett, och är omregistrerad, kan jag komplettera det i efterhand? Dessutom undrar jag om det finns plats kvar i någon grupp? Grupp 4 skulle passa mig bäst!
Se sidan med svar på Vanliga frågor
Hej! Jag kommer inte kunna gå på seminarie 6 med min ordinarie grupp 2 då jag har förhinder på måndagen.(3/3) Kan jag gå onsdagen istället? Måste jag säga till det till någon?
Hej, Jag har svarat via epost.
Hej!
Jag ska gå på seminarierna för omregistrerade nu i period 4 men jag har samma problem som ovan, jag kommer inte kunna gå på seminarie 3 med min ordinarie grupp (förhoppningsvis 4) p.g.a. krock. Kan jag gå på tisdagens tillfälle då?
Hej,
Du kan gå på tisdagens seminarium 3 i mån av plats, men du är inte garanterad en plats annat än i din ordinarie grupp.
Lärare Karim Daho redigerade 19 januari 2014
Seminarium
Lärare Karim Daho redigerade 21 januari 2014
Seminarium 1 för omregistrerade
Hej,
Jag undrar vart man kan hitta seminarieuppgifterna?
Tjena, du hittar de på "kursinnehåll". De uppgifterna där det står "sem1", alltså är det speciellt utvalda uppgifter i övningsboken :P
Tack så mycket :0)
Hej,
Undrar om det är just denna bok som ska användas till flervariabelanalys eller duger det med den också : Flervariabelanalys med linjär algebra av Torbjörn Kolsrud ?!
MVH
Waheed
Lärare Karim Daho redigerade 19 januari 2014
Seminarium
Lärare Karim Daho redigerade 21 januari 2014
Seminarium 6 för omregistrerade
Lärare Karim Daho redigerade 19 januari 2014
Seminarium
Lärare Karim Daho redigerade 21 januari 2014
Seminarium 5 för omregistrerade
Lärare Karim Daho redigerade 19 januari 2014
Seminarium
Lärare Karim Daho redigerade 21 januari 2014
Seminarium 4 för omregistrerade
Lärare Karim Daho redigerade 19 januari 2014
Seminarium
Lärare Karim Daho redigerade 21 januari 2014
Seminarium 3 för omregistrerade
Lärare Karim Daho redigerade 19 januari 2014
Seminarium
Lärare Karim Daho redigerade 21 januari 2014
Seminarium 2 för omregistrerade
20/10 -11 tentan upg. 5 Vad händer med jacobianen när bytet till polära koordinater görs?
Det görs aldrig något byte till polära koordinater utan r är en konstant (cylinderns radie)
Kommer ni lägga upp lösningsförslag på kompletteringstentan?
Nej, vi brukar varken lägga upp kompletteringstentor eller lösningar. Den kommer dock bli rättad ganska snabbt så du får resultatet inom några dagar (och kan då hämta ut den på expeditionen).
Skriver du här eller så när ni rättat de?
Visst.
Anmälan till tentamen 19 oktober
Sista anmälningsdag för tentamen den 19 oktober är söndagen den 30 september kl 24.00. Anmälan görs på Mina sidor.
Den som vill tentera upp sitt betyg (s.k. plussare) ska anmäla sig på matematiks studentexpedition denna vecka.
Nu är placeringen för tentamen den 19 oktober, 8:00-13:00 färdig. På din personliga resultatsida kan du se i vilken sal du ska skriva.
Kom ihåg att ta med fotolegitimation. För att få skriva tentamen får du inte komma senare än 45 minuter efter skrivtidens början.
För de som missat att anmäla sig finns ca 5 reservplatser i salen F1. Det är "först till kvarn" som gäller för dessa platser. Efter 45 minuter kan man även ta outnyttjade platser.
Lars Filipsson redigerade 19 oktober 2012
Skrivtiden för tentamen är 5 timmar. Den som kommer mer än 45 minuter för sent till tentamen får inte delta. Alla skrivande behöver kunna visa upp giltig fotolegitimation.
Tentamen består av nio uppgifter som vardera ger maximalt fyra poäng. De tre första uppgifter utgör del A av tentamen och kan ersättas med resultat från den löpande examinationen. Se sidan för bonuspoäng för detaljer. De tre följande uppgifterna utgör del B och de tre sista uppgifterna del C.
Betygsgränserna vid tentamen ges av
BetygABCDEFx Total poäng 27 24 21 18 16 15 Varav från del C 6 3 Se examinationssidan för bedömningskriterier.
Anmälan till tentamen Anmälan till tentamen sker via Mina sidor. Om du har problem att få upp kursen via Mina sidor bör du kontakta kurssekreteraren för att kontrollera att du blivit registrerad på kursen.
Kompletteringstentamen Vid betyget Fx ges en möjlighet till komplettering till godkänt betyg vid en kompletteringstentamen kort efter ordinarie tentamen. Kompletteringstentamen har en skrivtid på 90 minuter. Motsvarande möjlighet kommer också att finnas efter omtentamen.
Tillåtna hjälpmedel Vid tentamen är inga hjälpmedel tillåtna.
Placering Placeringen inför tentamen meddelas via epost till alla som anmält sig i tid. Den kommer även att finnas på din resultatsida.
Överklagan Den som vill klaga på rättningen ska lämna in en begäran om omprövning på matematikinstitutionens studentexpedition.
Datum Period 1 ht 2012 För CMETE2:
* Ordinarie tentamen den 19 oktober 2012 kl 08:00-13:00.
* Ordinarie omtentamen sker i januari 2013.
Period 3 vt 2013 Datum meddelas senare
Period 3-4 vt 2013 Datum meddelas senare
Period 4 vt 2013 Datum meddelas senare
Tidigare tentamina
* Tentamen 2012-10-19 med Lösningsförslag
* Tentamen 2012-08-16 med Lösningsförslag
* Tentamen 2012-06-04 med Lösningsförslag
* Tentamen 2012-03-13 med Lösningsförslag
* Tentamen 2011-10-20 med Lösningsförslag
* Se även extentor
David Rydh redigerade 1 november 2012
Skrivtiden för tentamen är 5 timmar. Den som kommer mer än 45 minuter för sent till tentamen får inte delta. Alla skrivande behöver kunna visa upp giltig fotolegitimation.
Tentamen består av nio uppgifter som vardera ger maximalt fyra poäng. De tre första uppgifter utgör del A av tentamen och kan ersättas med resultat från den löpande examinationen. Se sidan för bonuspoäng för detaljer. De tre följande uppgifterna utgör del B och de tre sista uppgifterna del C.
Betygsgränserna vid tentamen ges av
BetygABCDEFx Total poäng 27 24 21 18 16 15 Varav från del C 6 3 Se examinationssidan för bedömningskriterier.
Anmälan till tentamen Anmälan till tentamen sker via Mina sidor. Om du har problem att få upp kursen via Mina sidor bör du kontakta kurssekreteraren för att kontrollera att du blivit registrerad på kursen.
Kompletteringstentamen Vid betyget Fx ges en möjlighet till komplettering till godkänt betyg vid en kompletteringstentamen kort efter ordinarie tentamen. Kompletteringstentamen har en skrivtid på 90 minuter. Motsvarande möjlighet kommer också att finnas efter omtentamen.
Tillåtna hjälpmedel Vid tentamen är inga hjälpmedel tillåtna.
Placering Placeringen inför tentamen meddelas via epost till alla som anmält sig i tid. Den kommer även att finnas på din resultatsida.
Överklagan Den som vill klaga på rättningen ska lämna in en begäran om omprövning på matematikinstitutionens studentexpedition.
Datum Period 1 ht 2012 För CMETE2:
* Ordinarie tentamen den 19 oktober 2012 kl 08:00-13:00.
* Ordinarie omtentamen den 10 januari 2013 kl 08:00-13:00.
Period 3 vt 2013 Datum meddelas senare¶ Period 3-4 vt 2013 Datum meddelas senare¶ Period 4 vt 2013 Datum meddelas senare¶
* Ordinarie tentamen den 12 mars 2013 kl 08:00-13:00.
* Ordinarie omtentamen i juni 2013.
Period 3-4 vt 2013 och period 4 vt 2013
* Ordinarie tentamen den 27 maj 2013 kl 08:00-13:00.
* Ordinarie omtentamen i augusti 2013.
Tidigare tentamina
* Tentamen 2012-10-19 med Lösningsförslag
* Tentamen 2012-08-16 med Lösningsförslag
* Tentamen 2012-06-04 med Lösningsförslag
* Tentamen 2012-03-13 med Lösningsförslag
* Tentamen 2011-10-20 med Lösningsförslag
* Se även extentor
Tommy Ekola redigerade 5 november 2012
Skrivtiden för tentamen är 5 timmar. Den som kommer mer än 45 minuter för sent till tentamen får inte delta. Alla skrivande behöver kunna visa upp giltig fotolegitimation.
Tentamen består av nio uppgifter som vardera ger maximalt fyra poäng. De tre första uppgifter utgör del A av tentamen och kan ersättas med resultat från den löpande examinationen. Se sidan för bonuspoäng för detaljer. De tre följande uppgifterna utgör del B och de tre sista uppgifterna del C.
Betygsgränserna vid tentamen ges av
BetygABCDEFx Total poäng 27 24 21 18 16 15 Varav från del C 6 3 Se examinationssidan för bedömningskriterier.
Anmälan till tentamen Anmälan till tentamen sker via Mina sidor. Om du har problem att få upp kursen via Mina sidor bör du kontakta kurssekreteraren för att kontrollera att du blivit registrerad på kursen.
Kompletteringstentamen Vid betyget Fx ges en möjlighet till komplettering till godkänt betyg vid en kompletteringstentamen kort efter ordinarie tentamen. Kompletteringstentamen har en skrivtid på 90 minuter. Motsvarande möjlighet kommer också att finnas efter omtentamen.
Tillåtna hjälpmedel Vid tentamen är inga hjälpmedel tillåtna.
Placering Placeringen inför tentamen meddelas via epost till alla som anmält sig i tid. Den kommer även att finnas på din resultatsida.
Överklagan Den som vill klaga på rättningen ska lämna in en begäran om omprövning på matematikinstitutionens studentexpedition.
Datum Period 1 ht 2012 För CMETE2:
* Ordinarie tentamen den 19 oktober 2012 kl 08:00-13:00.
* Ordinarie omtentamen den 10 januari 2013 kl 08:00-13:00.
Period 3 vt 2013
* Ordinarie tentamen den 12 mars 2013 kl 08:00-13:00.
* Ordinarie omtentamen i juni 2013den 27 maj 2013 kl 08:00-13:00.
Period 3-4 vt 2013 och period 4 vt 2013
* Ordinarie tentamen den 27 maj 2013 kl 08:00-13:00.
* Ordinarie omtentamen i augusti 2013.
Tidigare tentamina
* Tentamen 2012-10-19 med Lösningsförslag
* Tentamen 2012-08-16 med Lösningsförslag
* Tentamen 2012-06-04 med Lösningsförslag
* Tentamen 2012-03-13 med Lösningsförslag
* Tentamen 2011-10-20 med Lösningsförslag
* Se även extentor
Anmälan till tentamen 10 januari
Sista anmälningsdag för tentamen den 10 januari är söndagen den 16 december kl 24.00. Anmälan görs på Mina sidor.
Den som vill tentera upp sitt betyg (s.k. plussare) ska anmäla sig på matematiks studentexpedition denna vecka.
Nu är placeringen för tentamen torsdagen den 10:e januari, 8:00–13:00 färdig. På din personliga resultatsida kan du se i vilken sal du ska skriva.
Kom ihåg att ta med fotolegitimation. För att få skriva tentamen får du inte komma senare än 45 minuter efter skrivtidens början.
För dem som missat att anmäla sig finns 17 reservplatser i salen Q1. Det är "först till kvarn" som gäller för dessa platser (ingen anmälan). Efter 45 minuter kan man även ta outnyttjade platser.
Hej! För oss "plussare" till tentan den 10e: var kommer vi att skriva och hur/när får vi veta detta?
Gå in på din personliga resultatsida. Där står var du ska sitta.
Har examination även gjort en modtenta, eller är det bara oktobertentan som går att kika på?
Det finns ingen modelltenta utan det är tentorna sedan 2011-10-20 som är mest relevanta. (Kursen har inte förändrats sedan förra läsåret.)
Om det är så att man är anmäld att plussa tentan, men väljer att inte skriva den - måste detta föranmälas på något sätt?
Nej, du behöver inte göra något.
Tommy Ekola redigerade 10 januari 2013
Skrivtiden för tentamen är 5 timmar. Den som kommer mer än 45 minuter för sent till tentamen får inte delta. Alla skrivande behöver kunna visa upp giltig fotolegitimation.
Tentamen består av nio uppgifter som vardera ger maximalt fyra poäng. De tre första uppgifter utgör del A av tentamen och kan ersättas med resultat från den löpande examinationen. Se sidan för bonuspoäng för detaljer. De tre följande uppgifterna utgör del B och de tre sista uppgifterna del C.
Betygsgränserna vid tentamen ges av
BetygABCDEFx Total poäng 27 24 21 18 16 15 Varav från del C 6 3 Se examinationssidan för bedömningskriterier.
Anmälan till tentamen Anmälan till tentamen sker via Mina sidor. Om du har problem att få upp kursen via Mina sidor bör du kontakta kurssekreteraren för att kontrollera att du blivit registrerad på kursen.
Kompletteringstentamen Vid betyget Fx ges en möjlighet till komplettering till godkänt betyg vid en kompletteringstentamen kort efter ordinarie tentamen. Kompletteringstentamen har en skrivtid på 90 minuter. Motsvarande möjlighet kommer också att finnas efter omtentamen.
Tillåtna hjälpmedel Vid tentamen är inga hjälpmedel tillåtna.
Placering Placeringen inför tentamen meddelas via epost till alla som anmält sig i tid. Den kommer även att finnas på din resultatsida.
Överklagan Den som vill klaga på rättningen ska lämna in en begäran om omprövning på matematikinstitutionens studentexpedition.
Datum Period 1 ht 2012 För CMETE2:
* Ordinarie tentamen den 19 oktober 2012 kl 08:00-13:00.
* Ordinarie omtentamen den 10 januari 2013 kl 08:00-13:00.
Period 3 vt 2013
* Ordinarie tentamen den 12 mars 2013 kl 08:00-13:00.
* Ordinarie omtentamen den 27 maj 2013 kl 08:00-13:00.
Period 3-4 vt 2013 och period 4 vt 2013
* Ordinarie tentamen den 27 maj 2013 kl 08:00-13:00.
* Ordinarie omtentamen i augusti 2013.
Tidigare tentamina
* Tentamen 2013-01-10 med Lösningsförslag
* Tentamen 2012-10-19 med Lösningsförslag
* Tentamen 2012-08-16 med Lösningsförslag
* Tentamen 2012-06-04 med Lösningsförslag
* Tentamen 2012-03-13 med Lösningsförslag
* Tentamen 2011-10-20 med Lösningsförslag
* Se även extentor
Lösningarna till dagens tentamen är nu upplagda på denna sida.
Tyvärr är vi lite underbemannade i rättningen av tentan så det kommer ta minst en vecka innan den är rättad.
Tentamen 10 januari rättad
Gå till denna sida för att se ditt resultat. Statistik finns på denna sida.
Tentorna finns för uthämtning i mattes studentexpedition imorgon och resultaten kommer bokföras i ladok troligtvis under nästa vecka. De som fick betyg FX kommer få information om kompletteringstentan via epost.
ungefär när kommer mail om kompletteringstentamen att skickas ut?
Med all sannolikhet nästa vecka.
Hej. Finns det något annat tillfälle mellan 12e mars och 27e maj där man kan skriva en flervariabelstenta? Vare sig det är ett omtenta tillfälle eller ordinarie tentamen?
Med vänlig hälsning, Mary
Nej, de återstående tentorna detta läsår går i mars, maj och augusti
Anmälan till tentamen 12 mars
Sista anmälningsdag för tentamen den 12 mars är söndagen den 24 februari kl 24.00. Anmälan görs på Mina sidor. Det är många anmälda (just nu 785 st) och därför är det extra viktigt att anmäla sig eftersom det troligtvis inte blir många reservplatser.
Den som vill tentera upp sitt betyg (s.k. plussare) ska anmäla sig på matematiks studentexpedition denna vecka.
Hej!Jag upptäckte i onsdags att jag inte var kursregistrerad och kan inte anmäla mig till tentan (jag har däremot kunnat anmäla mig till KSar och gå på seminarier) och har försökt ringa till matematikexpeditionen varje dag sedan dess men aldrig kommit fram. Går detta att fixa innan imorgon? Om inte, kan jag försöka på måndag igen och kanske säkra en plats ändå?
mvh Astrid
Jag har lagt ett meddelande till kurssekreteraren om att du vill bli registrerad och delta på tentan. Såvida det inte är något problem med att registrera dig så finns goda förhoppningar att du får en plats på tentan. (Annars kan du gå till eventuella reservsalar.)
Tack så mycket för hjälpen!
Hej
Märkte precis också att jag inte var kursanmäld och därmed inte sett tenta anmälan..
Går de att ordna ?
Mvh Sixten
Jag har skickat din förfrågan till kurssekreteraren som har hand om salsplaceringen. Om du har tur så går det, annars får du skriva i eventuell reservsal.
Jag kontaktade Kerstin med hon säger att jag måste göra ett kursval, vad det nu innebär, så jag är fortfarande inte registrerad på SF1626 och kunde därmed inte anmäla mig på tentanem den 12 mars. Vad gör man nu?
Prata med din studievägledare så får du hjälp.
Jag har en fråga angående lösningsförslaget till tenta 2013-01-10
Både fråga 4 och 5 innehåller momentet att räkna ut determinanten till en Jakobimatris (integrationselement). I fråga 5 tar man J\(\exp -1\), men i fråga 4 nöjer man sig endast med J. Vad kommer detta av?
I de två uppgifterna görs variabelbytet åt olika håll: I Uppgift 4 har vi uttryck för \(x, y\) som funktioner av de nya variablerna \(r, \varphi\), i uppgift 5 har vi de uttryck för de nya variablerna \(u, v\) som funktioner av \(x, y\).
Tack!
Då undrar jag en annan sak ang. fråga 5 på tenta 2012-06-04
När man ska beräkna dubbelintegralen, borde man inte då kunna parametrisera områder D:
x = cos(t)
y = 1 + sin(t) , där t varierar mellan 0 och 2 pi
Svaret får jag då till 22 pi (och inte 11 pi). Varför?
Om du skriver din parametrisering som
$$\quad (x,y) = (0,1) + (\cos t,\sin t)$$
så kanske du lättare ser att det du gör är att du parametriserar cirkeln med medelpunkt i (0,1) och radie 1, dvs randcirkeln till området D.
För att du ska parametrisera hela cirkelskivan D så behöver du även variera radien med en parameter r, dvs
$$\quad (x,y) = (0,1) + (r\cos t, r\sin t)$$
där r och t är parametrar; r går mellan 0 och 1, och t går mellan 0 och 2π.
En tumregel är att man behöver en parameter för att parametrisera ett en-dimensionellt objekt (t.ex. en cirkel) och två parametrar för att parametrisera ett två-dimensionellt objekt (t.ex. en cirkelskiva).
Hej! Jag har ett problem med att bestämma integrationsgränser. Till exempel ten uppgift 2 2011-10-20. Delområde 2: x ligger mellan 1 och 2 och för y har man den undre gränsen -x och den övre gränsen -3x+4, jag förstår att det ska vara -x och -3x men hur kan man se eller beräkna +4? Säkert inget svårt men jag får bara inte till det.
Den övre gränsen är den räta linje som går genom punkterna (1,1) och (2,-2). Om vi skriver den linjen som y = kx+m så får vi fram ett ekvationssystem för k och m genom att stoppa in punkterna (1,1) och (2,-2),
$$\quad\begin{aligned}1 &= k\cdot 1 + m\\ -2 &= k\cdot 2+m\end{aligned}$$
Detta system har lösningen k = -3 och m = 4. Därför är y = -3x + 4.
Jahaa! Åh vad bra att det var så man skulle göra, hade passerat mig helt. Tack!
Hej på fråga sex från tentan 20120816 får jag svaret \(4\Pi /R\) och jag använder mig av den hårda vägen genom att först skriva F som funktion av lambda och theta och sedan . Då får jag som lösningen visar
$$m=F(r(\lambda ,\theta))=1/R^3(1,1,1)$$
Rymdpolära koordinaterna x,y,z
$$(r(\lambda ,\theta))=(Rcos(\lambda)sin(\theta ),Rsin(\lambda)sin(\theta),Rcos(\theta)$$
Sedan partialbråksuppdelar jag och med avseende på theta först och sedan lamda och kryssar dem i den ordningen och får då \(N=(r(\lambda ,\theta))Rsin(\theta))\)
Efter det så tar jag och löser integralen\(\iint_{D}m\cdot N d\theta d\lambda\) över område d där theta går mellan o och pi och lamda mellan 0 och två pi.
$$\iint_{D}m\cdot N d\theta d\lambda= 1/(R\exp3) R\exp 2 \iint_{D}m\cdot N d\theta d\lambda= 4\Pi /R$$
Vart gör jag fel?
Du missar ett R. Om vi använder dina beteckningar så är
$$\quad \overline{m} = \dfrac{1}{R^3} (r(\lambda,\theta))$$
och det ger sedan att
$$\quad \overline{m}\cdot\overline{N} = \dfrac{1}{R^3}\,R\sin\theta\:\overline{r}(\lambda,\theta)\cdot\overline{r}(\lambda,\theta) = \dfrac{1}{R^3}\,R\sin\theta\:R^2 = \sin \theta$$
som du därefter integrerar över 0 ≤ θ ≤ π, 0 ≤ λ ≤ 2π och det ger 4π.
Ställer en följdfråga på uppg 6 från tentan 2012-03-12 Skall man bestämma potentialen på \(\frac{E=k(x,y,z)}{(x^2+y^2+z^2)^(3/2)}\) betyder det att man ska tolka att det står till detta \(E=\left[x,y,z \right]=\frac{k}{x^2+y^2+z^2)^(3/2},\frac{k}{x^2+y^2+z^2)^(3/2},\frac{k}{x^2+y^2+z^2)^(3/2}\)
Eller skall man tolka det som att de står till
$$E=\left[x,y,z \right]=\frac{kx}{x^2+y^2+z^2)^(3/2)},\frac{ky}{x^2+y^2+z^2)^(3/2)},\frac{kz}{x^2+y^2+z^2)^(3/2)}$$
Det är den sista tolkningen som är rätt.
Hej!
Vem ska jag meddela att jag har dyslexi och har rätt till 50% längre skriv tid på tentamen ?
Se denna sida
Jag har redan ett intyg från KTH grejen är att jag vill ha 50% extra tid på tentan i flervariabeln nu den 27 maj hur löser ni det?
Om du har ett intyg från Funka på att du ska ha 50% extra skrivtid så är det redan inlagt i systemet och vi får sedan den informationen när anmälningslistorna laddas ned. (Jag kan faktiskt redan nu se i anmälningslistan att du ska ha extra skrivtid, så informationen finns där.)
Hur ser taylors formel ut när man räknar ut taylorpolynomet av grad 1 med 2 variabler?
Taylorutveckling av funktionen f(x,y) kring punkten (a,b):
$$\quad f(a+h,b+k) = f(a,b) + f'_x(a,b)h + f'_y(a,b)k + \text{restterm.}$$
Där resttermen har utseendet
$$\quad \text {restterm} = |(h,k)|\,B(h,k) = \sqrt{h^2+k^2}\,B(h,k)$$
och B(h,k) är en begränsad funktion i en omgivning av (h,k) = (0,0).
Hej igen! Ang tenta 2013-03-12. a uppgiften
Varför kan man sätta detta villkor?
h, k < 0
MVH Michaéla
Det är bara riktningar (h,k) utifrån punkten (1,1) som pekar in i kvadraten D som ska undersökas. Om du tittar på bilden i lösningen så ser du att (h,k) ska befinna sig i tredje kvadranten av hk-planet, dvs att h ≤ 0 och k ≤ 0.
Hej!
På uppgift 4b på tentan från 2013-03-12 kan man istället för att hitta potetialen räkna som om det vore en "vanlig" flödesintegral och parameterisera funktionen?
MVH Taylor
Ok, men jag förstår faktiskt inte varför de hamnar i tredje kvadranten. v pekar väl inåt i alla kvadranter?
Tack för svar!
@Taylor: Ja, du kan välja en kurva och beräkna kurvintegralen via parametrisering.
@Michaéla: I bilden nedan har jag ritat in fyra vektorer (h,k) som pekar i fyra olika riktningar:
- Vektorn v₁ = (h,k) har h < 0 och k < 0.
- Vektorn v₂ = (h,k) har h < 0 och k > 0.
- Vektorn v₃ = (h,k) har h > 0 och k > 0.
- Vektorn v₄ = (h,k) har h > 0 och k < 0.
Från bilden framgår att för att v = (h,k) ska peka in i D så måste h ≤ 0 och k ≤ 0 (dvs fall 1 ovan).

Hej!
I lösningsförslaget till uppg 1A i ten 2012-06-04 så får ni gradg(2,1,-1)=(-1,-2,4). Jag får z till minus 4, dvs =(-1,-2,-4).
Har jag räknat fel lr?
Får du samma ∂g/∂z som lösningsförslaget?
nej, och jag hitta ett fel jag gjort. Tack!
Tack för bra förklaring!
Hejsan igen! Nu har jag en till fråga.. på tentamen 2012-19-20 uppg 9 så fås y av roten ur(1-z2-x2). Det jag undrar är varför utesluts den negativa roten? I uppgiften anvöns enbart y = den positiva roten!
Tack för svar
I uppgiftstexten står det att y ≥ 0.
Hej! Jag undrar hur man får fram enhetsnormalen som behövs när man ska bestämma flödet av fältet i uppgift 5, tentamen 2011-10-20.
Tack för svar!
Taylors formel för tre variabler kan du till exempel se här (se sid 3):
http://ingforum.haninge.kth.se/armin/ALLA_KURSER/SF1626/TAYLOR.pdf
Formelsamling är inte tillåten på tentan.
Fråga 9, tenta 2013-03-12, varför optimerar man på enhetscirkeln?
Fråga 8 på tentamen 2013-01-10: Hur ser rektangeln egentligen ut? Eftersom rektangeln ska vara [-1,1]x[-2,2] blir den ju noll...
@Annie: Punkten (x,y) är fix och lika med (1,1). I den punkten optimerar du \(f'_{\boldsymbol{v}}(1,1)\) över alla enhetsvektorer v = (h,k) som pekar in i D (dvs h ≤ 0 och k ≤ 0) och om (h,k) ska vara en enhetsvektor måste h² + k² = 1. Det är därför du får en enhetscirkel att optimera över.
@Rebecca: [-1,1]×[-2,1] betyder rektangeln där -1 ≤ x ≤ 1 och -2 ≤ y ≤ 2.
Hej!
Jag kan inte hitta vilka salar som är reservsalar för tentamen imorgon den 27e maj. Är det någon som vet vilka salar som gäller?
En fråga i sista minuten, förstår om ni inte svarar!
2013-03-12, uppgift 8. När variabelbytet utförs och detatminanten bli -1\2, varför tas minus tecknet bort?
Mvh Michaéla
Det kan jag svara på Michaela!
När man gör variabelbyte så ersätts dxdy = |J|dudv, det vill säga absolutbeloppet av determinanten! Alltså blir det |-1/2| = 1/2
Tack så hemskt mycket!
Tommy Ekola redigerade 27 maj 2013
Skrivtiden för tentamen är 5 timmar. Den som kommer mer än 45 minuter för sent till tentamen får inte delta. Alla skrivande behöver kunna visa upp giltig fotolegitimation.
Tentamen består av nio uppgifter som vardera ger maximalt fyra poäng. De tre första uppgifter utgör del A av tentamen och kan ersättas med resultat från den löpande examinationen. Se sidan för bonuspoäng för detaljer. De tre följande uppgifterna utgör del B och de tre sista uppgifterna del C.
Betygsgränserna vid tentamen ges av
BetygABCDEFx Total poäng 27 24 21 18 16 15 Varav från del C 6 3 Se examinationssidan för bedömningskriterier.
Anmälan till tentamen Anmälan till tentamen sker via Mina sidor. Om du har problem att få upp kursen via Mina sidor bör du kontakta kurssekreteraren för att kontrollera att du blivit registrerad på kursen.
Om du vill tentera igen för högre betyg (s.k. plussning) ska du anmäla dig på matematiks studentexpedition.
Kompletteringstentamen Vid betyget Fx ges en möjlighet till komplettering till godkänt betyg vid en kompletteringstentamen kort efter ordinarie tentamen. Kompletteringstentamen har en skrivtid på 90 minuter. Motsvarande möjlighet kommer också att finnas efter omtentamen.
Tillåtna hjälpmedel Vid tentamen är inga hjälpmedel tillåtna.
Placering Placeringen inför tentamen meddelas via epost till alla som anmält sig i tid. Den kommer även att finnas på din resultatsida.
Överklagan Den som vill klaga på rättningen ska lämna in en begäran om omprövning på matematikinstitutionens studentexpedition.
Datum Period 1 ht 2012
* Ordinarie tentamen den 19 oktober 2012 kl 08:00-13:00.
* Ordinarie omtentamen den 10 januari 2013 kl 08:00-13:00.
Period 3 vt 2013
* Ordinarie tentamen den 12 mars 2013 kl 08:00-13:00.
* Ordinarie omtentamen den 27 maj 2013 kl 08:00-13:00.
Period 3-4 vt 2013 och period 4 vt 2013
* Ordinarie tentamen den 27 maj 2013 kl 08:00-13:00.
* Ordinarie omtentamen den 22 augusti 2013 kl 14:00-19:00.
Tidigare tentamina
* Tentamen 2013-05-27 med Lösningsförslag
* Tentamen 2013-03-12 med Lösningsförslag
* Tentamen 2013-01-10 med Lösningsförslag
* Tentamen 2012-10-19 med Lösningsförslag
* Tentamen 2012-08-16 med Lösningsförslag
* Tentamen 2012-06-04 med Lösningsförslag
* Tentamen 2012-03-13 med Lösningsförslag
* Tentamen 2011-10-20 med Lösningsförslag
* Se även extentor
tentamen 27/5 - 2013. upg 4b. hur får man fram pi/6 som ska vara vinkeln till punkten (0,1,sqrt(3))
Om du tittar på rz-planet där 'r' är avståndet till z-axeln, vill du ha vinkeln 'θ' mellan vektorn '(1,sqrt(3))' och z-axeln. Eftersom vektorns längd är '2' får vi att 'sin(θ)=1/2' eller 'cos(θ)=sqrt(3)/2' och därmed 'θ=π/6'.
Använd sen en annan variabel för beteckning av avståndet till origo :) t.ex. 'R'.
Hej Fredrik!
Vinkeln \(\theta\) går mellan z-axeln och vektorn ut till den aktuella punkten. I den här uppgiften är \(\theta\) alltså vinkeln mellan z-axeln och vektorn från origo till (0,1,sqrt(3)).
Eftersom vi inte rör oss alls i x-planet (alla koordinater 0), kan vi studera bara yz-planet. Tänk dig den rätvinkliga triangel som går mellan origo, (0, 1, sqrt(3)) och (0,0,sqrt(3)). Den räta vinkeln ligger alltså vid punkten (0,0,sqrt(3)). \(\theta\) kan man nu få fram genom att beräkna till exempel tan \(\theta\) = 1/sqrt(3). Inom det möjliga intervallet för \(\theta\), uppfylls detta av \(\theta = \pi/6\).
/Rebecca
Hej!
Har lite problem med att förstå hur man tar fram en potential till ett vektor fält.
skulle någon kunna förklara?
Låt
![]()
vi söker då en potential 'U(x,y,z)' där
![]()
alltså
.
Vi integrerar upp ovanstående uttryck och får

därefter löser vi systemet och får en potential 'U'.
Uppgift 9.29
Vi söker då en potential 'U(x,y)' där
.
Sedan integrerar vi upp uttrycket och får

detta ger att
![]()
där 'C' är en konstant.
Hej, Fredrik!
Jag tar tre dimensioner, två fungerar likadant.
Vi har vektorfältet F(x, y, z) = (P(x, y, z), Q(x, y, z), R(x, y, z)), och vill hita en funktion U sådan att:
$$\left\{ \begin{matrix} \frac{\partial U}{\partial x} = P \\ \frac{\partial U}{\partial y} = Q \\ \frac{\partial U}{\partial z} = R\end{matrix} \right.$$
Var och en av dessa ekvationer kan integreras, så att man får:
$$\left\{ \begin{matrix} U(x, y, z) = \int P(x, y, z)dx \\ U(x, y, z) = \int Q(x, y, z) dy \\ U(x, y, z) = \int R(x, y, z)dz \end{matrix} \right.$$
det vill säga primitiva funktioner till P, Q respektive R, med avseende på var sin variabel.
Det man gör är då att man väljer ut vilken av de tre integralerna som ser lättast ut att utföra, till exempel den första, och utför den. Då får man att \(U(x, y, z) = \int P(x, y, z) dx = \hat P (x, y, z) + g(y, z)\)
Där är \(\hat P\) en primitiv till P med avseende på x. g(y, z) är där av samma anledning som man får en integrationskonstant när man tar fram endimensionella primitiver: Den kan vara vad som helst, eftersom den ändå försvinner när man deriverar m.a.p. x. Med ett konkret exempel kommer alltså \(\hat P\) vara något konkret uttryck av x, y och z, medan funktionen g fortfarande är okänd, och man skriver helt enkelt g(y, z).
Nästa steg tycker jag är att derivera U med avseende på y och z, och jämföra med Q och R. Man får då med den okända termen \(g'_y(y, z)\) respektive
... respektive \(g'_z(y, z)\) i de båda uttrycken. Går det att välja g på ett sådant sätt att U:s derivator blir rätt?
Om man hittar ett sådant g (ibland funkar 0, hurra!), har man hittat en potential. Om man lyckas visa att det inte går, har man bevisat att det inte finns någon potential.
/Rebecca
Tommy Ekola redigerade 22 augusti 2013
Skrivtiden för tentamen är 5 timmar. Den som kommer mer än 45 minuter för sent till tentamen får inte delta. Alla skrivande behöver kunna visa upp giltig fotolegitimation.
Tentamen består av nio uppgifter som vardera ger maximalt fyra poäng. De tre första uppgifter utgör del A av tentamen och kan ersättas med resultat från den löpande examinationen. Se sidan för bonuspoäng för detaljer. De tre följande uppgifterna utgör del B och de tre sista uppgifterna del C.
Betygsgränserna vid tentamen ges av
BetygABCDEFx Total poäng 27 24 21 18 16 15 Varav från del C 6 3 Se examinationssidan för bedömningskriterier.
Anmälan till tentamen Anmälan till tentamen sker via Mina sidor. Om du har problem att få upp kursen via Mina sidor bör du kontakta kurssekreteraren för att kontrollera att du blivit registrerad på kursen.
Om du vill tentera igen för högre betyg (s.k. plussning) ska du anmäla dig på matematiks studentexpedition.
Kompletteringstentamen Vid betyget Fx ges en möjlighet till komplettering till godkänt betyg vid en kompletteringstentamen kort efter ordinarie tentamen. Kompletteringstentamen har en skrivtid på 90 minuter. Motsvarande möjlighet kommer också att finnas efter omtentamen.
Tillåtna hjälpmedel Vid tentamen är inga hjälpmedel tillåtna.
Placering Placeringen inför tentamen meddelas via epost till alla som anmält sig i tid. Den kommer även att finnas på din resultatsida.
Överklagan Den som vill klaga på rättningen ska lämna in en begäran om omprövning på matematikinstitutionens studentexpedition.
Datum Period 1 ht 2012
* Ordinarie tentamen den 19 oktober 2012 kl 08:00-13:00.
* Ordinarie omtentamen den 10 januari 2013 kl 08:00-13:00.
Period 3 vt 2013
* Ordinarie tentamen den 12 mars 2013 kl 08:00-13:00.
* Ordinarie omtentamen den 27 maj 2013 kl 08:00-13:00.
Period 3-4 vt 2013 och period 4 vt 2013
* Ordinarie tentamen den 27 maj 2013 kl 08:00-13:00.
* Ordinarie omtentamen den 22 augusti 2013 kl 14:00-19:00.
Tidigare tentamina
* Tentamen 2013-08-22 med Lösningsförslag
* Tentamen 2013-05-27 med Lösningsförslag och statistik
* Tentamen 2013-03-12 med Lösningsförslag och statistik
* Tentamen 2013-01-10 med Lösningsförslag och statistik
* Tentamen 2012-10-19 med Lösningsförslag och statistik
* Tentamen 2012-08-16 med Lösningsförslag och statistik
* Tentamen 2012-06-04 med Lösningsförslag och statistik
* Tentamen 2012-03-13 med Lösningsförslag och statistik
* Tentamen 2011-10-20 med Lösningsförslag och statistik
* Se även extentor
Hej jag har en fråga angående facit till tentamen 2013-08-22. På fråga 7 beskrivs triangelns område som x=-1, 0=< y =<z och 0=<z=<2. Jag försöker rita upp det området men kommer fram till att det område istället beskriver en triangel med hörnen i (-1,0,0), (-1,0,2) och (-1,2,2), Borde inte olikheten till triangeln i fråga vara x=-1, z=<y=<2 och 0=<z=<2?
Jo, du har rätt, det var ett fel tidigare! Om du laddar ner lösningarna igen ser du den nya (förhoppningsvis korrekta) versionen.
Hej ! Jag ara undrar när nästa tenta tillfälle är
Under läsåret 13-14 ges denna kurs i perioderna 3 och 4. Tentor kommer i slutet av dessa perioder.
Hej! Jag har en fråga angående kompletteringstentamen. I mailet som man fick så står det att uppgifterna på kompletteringen kommer vara utav samma karaktär som B-uppgifterna på tentamen, innebär det att det kommer vara samma "typ" av tal som tal 4,5,6 på tentan 13-08-22? Dvs en minsta - största värde, taylor och sfärisk volym?
Tack på förhand
Nej, det betyder inte att frågorna handlar om samma sak som på tentan. Vad som avses är att frågorna är av ungefär samma svårighetsgrad och omfattning som B-uppgifterna.
Man kan ju alltid hoppas! Men då vet jag det, tack för snabbt svar!
Hej jag tror inte jag är kursregistrerad då jag inte kan anmäla mig till kontroll skrivningen
Anmälningsformuläret till KS1 aktiveras först imorgon (22 mars), men du har rätt i att du inte var registrerad. Jag har bett kursadministratören registrera dig.
Hej, jag har heller inte blivit kursregistrerar och kan således inte anmäla mig till KS1 som öppnar imorn
Hej, jag har inte heller blivit registrerad på kursen...
@Erik och @Johannes: Kursadministratören har nu fått i uppdrag att kursregistrera er.
Hej, jag är inte heller registrerad på kursen än. Tänkte gå kursen med Open om det gör någon skillnad för registrering, kommer från datateknik som inte går den längre.
David, du är redan registrerad på kursen.
Hej! Jag tror inte att jag är kursregistrerad
Hej, jag behöver bli kursregistrerad.
@Sebastian & @Luciano: Ivägskickat till kursadministratören och hon återkopplar när ni är registrerade (troligtvis på måndag).
Hej jag vill också bli kursregistrerad, och gärna tillsammans med CKEMV och CBIOT-programmen. Jag skickade ett mail till Anne Riddarström men har inte fått något svar.
Rikard Israelsson
Jag påminner Anne på måndag.
Hej, jag behöver också bli kursregistrerad. Det står att jag är kursanmäld på mina sidor men jag kan inte anmäla mig till KS1.
Tack på förhand.
@Alexander: Överlämnat till kursadministratören. Hon återkopplar.
Jag är inte kursregistrerad i kursen SF1626, fastän det står på mina sidor att jag har kursen! Jag behöver bli inskriven för att kunna göra omtentan i augusti!
Tyvärr finns det ingen på plats som kan registrera dig. Jag har skickat ett meddelande till kurssekreteraren om att du vill bli kursregistrerad och hon kommer återkoppla till dig när hon är tillbaka från semestern i början av augusti.
Såg precis att hon har semester till den 12 augusti. Därför har jag lagt in dig bland plussarnas ansökningar. Om du har tur så får du en plats, annars är det reservplatserna som gäller för dig.
Ett tips: Om du i schemat här på social klickar på E31 så får du upp information om salen. Här är informationen.
En bra tumregel kan vara att kurser som börjar sin kurskod med ett "I" oftast examineras i Kista och kurser som börjar på andra bokstäver i sin kurskod än "I" oftast examineras på Campus Valhallavägen.
Hej! Jag kan inte längre gå in och se mina resultat? När jag trycker på resultat så finns inte den sidan!
MVH MIchaéla
Det borde vara fixat nu.
Kommer inte in på resultatsidan...
Det fungerar fint för mig. Vilken typ av felmeddelande får du?
skulle inte resultatet vara uppe idag? jag har kollat både resultatsidan och ladok!
oj förlåt hitta det!
Hej,
Jag undrar när kompleteringen kommer att ske och hur kommer den att genomföras?
Ett epost-meddelande kommer inom kort gå ut till de som fått Fx med mer information om datum och sal.
I denna tråd finns lite allmän information om kompletteringstentan.
Efter att ha letat länge lyckades jag till slut hitta länken till statistiken för den här kursen. Vore utmärkt om den hamnade lite mer exponerat på den här sidan.
http://www.math.kth.se/math/GRU/2012.2013/SF162X-resultat/statistik/tentamina/SF1626_2013-05-27.html
Jag har nu lagt in en länk till statistiken till varje extenta på denna sida.
Min tentamen har inte blivit fullständigt rättad då uppgift 4,5 och 6 är glömda. Varför detta? Var vänder jag mig för hjälp?
Uppgifterna 4 och 5 är nämligen markerade med streck trots att jag har lämnat in svar på uppgifterna. Ni får se till att lägga in bedömning på dessa uppgifter senast imorgon.
Vad du ska göra då är att lämna in en begäran om omprövning på matematiks studentexpedition. Om du gör det imorgon (onsdag) så kommer du hinna få beslutet innan kompletteringstentan.
Tack för hjälpen. Jag överklagade idag då U4 och U5 ligger inlämnade i häftet men utan bedömning på lösningarna.
Vi rättar för fulla muggar. Lite senare i veckan kan jag lämna en prognos.
Rättningen går bra och ni kommer få era resultat på måndag. På måndag kommer också tentorna skannas så det kommer dröja en dag eller två innan ni därefter kan hämta ut era tentor.
Tack Tam!!!
Det gick jättebra på tentan och jag tyckte till och med att ämnet var roligt och spännande tack vare din paketering! :) Tack!!!